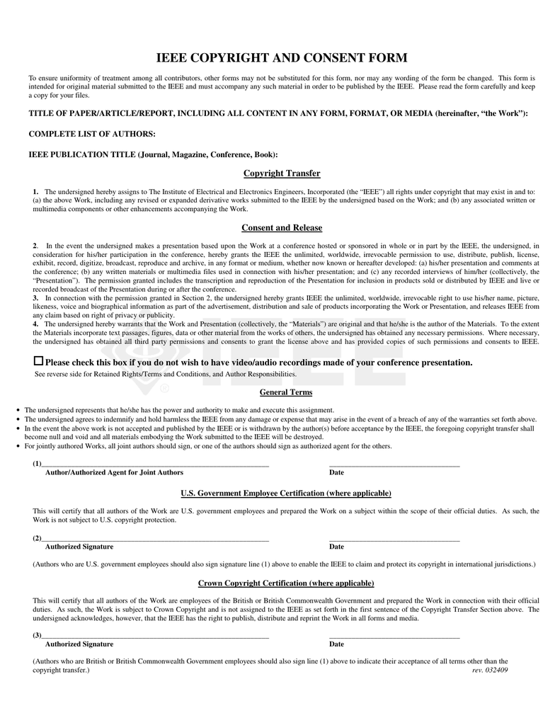
Copyright forms
Оставайтесь дома 2020
Я уже было переживал
Мемориальные скверы
Повторы речевых оборотов в былине три
За тем же что и вы
Когда день водителя в этом году
Тест нкт
Бесплатные концерты на день города
Что значит витала
Множественное число подлежащего
Hgst
Письменный стол от производителя в спб недорого
Надеюсь на то что
Copyright forms 84 фото


















































































