Company Owner Dating Employee

π ππ»ππ»ππ» MORE INFO CLICK HERE ππ»ππ»ππ»
Can a CEO ever date an employee? | CNN Business
The Boss Is Dating an Employee . Now What?
HR Scenario: Dating in the Workplace | Employers Resource
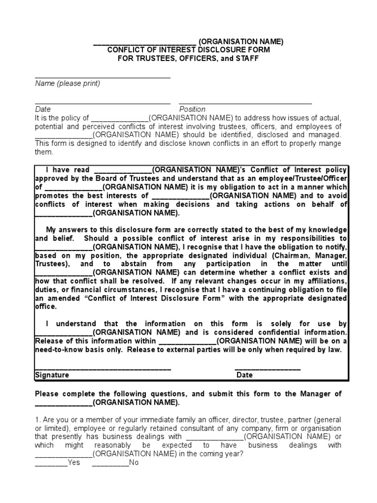
Workplace romance policy example: rules on employee dating . . .
Can an Employer Prohibit Employees from Dating One Another?
Is Workplace Dating Really Off Limits? | Inc .com
Is It Sexual Harassment If I Date My Employee?
How Employee Ownership Benefits Executives, Companies, and . . .
PDF Employee Share Ownership Plan (Private Company)
Is a director an employee of a company?
Prehistoric Dating
Dating Scene In Charleston Sc
Dating In Uzbekistan
8 Π½ΠΎΡΠ± . 2019 Π³ . [A CEO dating an employee ] undermines the idea of meritocracy and the idea that everyone has a fair shot ." Johnny C . Taylor, Jr ., CEO, SHRM Nothing more is publicly known about his relationship . . .
A: There are numerous ethical issues involved in an owner or CEO or, really, any manager dating an employee . You and your partner need to see your attorney as well as an HR expert, but first you . . .
It's inevitable that co-workers may date one another, but workplace relationships bring potential for increased employer liability in harassment and retaliation claims, especially for a relationship that forms between a supervisor and a subordinate . Employers have several options when it comes to addressing workplace romances .
This policy applies to all our employees regardless of gender, sexual orientation or other protected characteristics . In the context of this policy, " employee dating " includes consensual romantic relationships and sexual relations . We explicitly prohibit non-consensual relationships . Policy elements Before you date a colleague
Legally speaking, in most states an employer can enact a policy that prohibits employees from dating one another . (Check your state and local laws for exceptions, which do exist and are usually centered on employee privacy or limitations for employers on prohibiting nonwork activities .)
You can also have employees report a romantic relationship to a company representative, like an HR official .
25 ΠΈΡΠ» . 2015 Π³ . That's why companies freak out when managers date employees . Your best move is to go to Megan and tell her that it was super uncool of you to let your relationship cross the line between . . .
Employee Stock Ownership Plans benefit the company , the employees , and the selling owners . An ESOP can be a great strategy for a company looking to enhance organizational performance, help employees prepare for retirement, and allow a business owner to meet succession or diversification goals . The experience of Wright Tree Service is not unique .
(the " Company " or "Corporation") Date of Adoption: _____, 2____ ARTICLE 1 - PURPOSE OF THE PLAN This article of the Plan may be omitted - The following is an example which should be altered as necessary . 1 .1 The purpose of this employee share ownership plan is to: (a) give the Company's employees an opportunity to participate in the . . .
Section 230 of the Employment Rights Act 1996 defines an employee as "an individual who has entered into or works under β¦ a contract of employment" . Directors do not normally have employment contracts, but they often have service contracts, which are essentially the same thing and generally provide the individual with employment status . Company directors without service contracts are not automatically considered to be employees (or workers) for the purposes of employment law regulations .
Dating Sugar Mummy In Kenya
Dating Someone With No Relationship Experience
T Dating Sites
Cape Town Dating
Free Lexington Dating
Online Dating Match Percent
Dating Connection
Free Dating Sites Without Registration
Top 10 Single Parent Dating Sites
Mingle2 Dating Service
Speed Dating Huntington Ny
Free Full Service Dating Site
Best First Dating Messages
Private Dating App
First Kiss Dating Advice
Paid Dating Websites In India
Married Dating Apps For Android
Dating Site Cats
Freshman In College Dating Senior In College
When Does Casual Dating Become A Relationship
Single Parent Speed Dating Melbourne
Who Is Tamara From Real Housewives Of Oc Dating
Cambridge Dating
Asian Online Dating Brisbane
Ualberta Dating Site
Who Is Dating Laurel Holloman
How To Move Past Casual Dating
Chanyeol Dating
Free Dating In Tampa
Dating Now Izle Asya Fanatikleri
Dating Agencies Perth
Woo Dating App Apk Download
Best Free Dating Site In The World
Speed Dating Isle Of Wight
Dating Google Map Satellite Images
How To Take A Good Dating Website Picture
Dating For Kvinder
Cherry Blossom Asian Dating
Asian Dating Lancaster Pa
Science Of Online Dating
Speed Dating Kansas
Triumph Frame Dating
Online Dating In Lowestoft
Plus Dating
Dating Sites For Weirdos
Can Dating A Younger Man Work
Quotes About Dating In Your 20s
Dating In Uzbekistan
Quotes Dating A Married Man
Le Speed Dating
Dating In Sacramento California
Tinder Dating Social Experiment
Dating Someone Dumber Than You
Dating Scan During Pregnancy
Herpes Dating Site Colorado
Bomb Curve Dating
Surviving Highschool Walkthrough Football Star Dating Beth
Dating Couple Gossiped About
Free Dating Site Completely Free
Dating Profile Girl Loves Cats
Why Is Carbon 14 Targeted In Radioactive Dating
Soul Mate Dating Service
Best Dating Spot In Delhi
Polyamory Married And Dating Watch Series
Dating Site Makati
Free Dating Hobart Tasmania
Christian Dating Sites Free United States
Questions To Ask At A Speed Dating Event
Norfolk Free Dating Site
Speed Dating Fargo Nd
Torrance Dating
Troy Speed Dating Tattoo
Best Internet Dating Pick Up Lines
Dating Chat Rooms For Free
Speed Dating Fat Cats Nottingham
Wikihow Dating Profile
Dating App For Transgender
Speed Dating Toronto Groupon
Erie Pa Speed Dating
You Are The One Dating Show In Chinese
Funny Dating Website Stories
Dating A Metro Man Donna Mcdonald
What To Expect When Dating A Black Muslim Man
Sl Dating Girl
Lemel Humes Dating
Dating Your Boss's Boss
Titusville Singles Dating
Delightful.Com Dating Site Reviews
Free Dating Site Pof
Dating Lee Denim Jackets
Dating Age
Dating Services Hobart
Free Online Dating Website Singapore
Punjabi Dating Sites Canada
Amsterdam Best Dating Site
Dating Sites For Seniors Australia
100 Free Largest Dating Site
Indian Speed Dating In London
Who's Dating Who
Get Fired For Dating Coworker
Company Owner Dating Employee
y_460">h_1536">w_2731">c_crop/w_800">


















h_351">c_scale">q_70/v1453898025/1453898024.jpg">














:quality(85)/cloudfront-us-east-1.images.arcpublishing.com/gray/RTEFDXZZK5EPRAPFWYNVQL6BNU.jpg)























y_0">h_931">w_1656">c_crop/h_270">w_480">







quality-100/verve-logic.jpg">














