Circular velocity sperm

๐ ๐๐ป๐๐ป๐๐ป ALL INFORMATION! CLICK HERE ๐๐ป๐๐ป๐๐ป
Changes in the motility patterns of spermatozoa from the . . .
What is SpermCellโข ? - SpermCellโข
Sperm Motility - Colorado State University
Identification of circular RNAs in porcine sperm and . . .
High-throughput lensfree 3D tracking of human sperms . . .
Semen analysis and bull fertility - Online Biology Notes
Hydrodynamics of Sperm Cells near Surfaces - ScienceDirect
Alternative reproductive tactics are associated with sperm . . .
Differences in the proteome of stallion spermatozoa . . .
Frontiers | Expression Patterns of Circular RNAs in High . . .
Desi bhabhi big boobs
Interracial school
Ebony teacher strip mom best friend
menfertility .org
ะะพะถะฐะปะพะฒะฐัััั ะฝะฐ ัะตะบะปะฐะผั
24 Male Fertility Supplements Compared . Maximise Fertility Naturally Without Side-Effects . Top Natural Male Fertility Supplements Compared . Learn To Conceive Faster Naturally!
Increase Male Fertility
Why male fertility is low What you can do to improve yours
Supplements Comparison
We Have Compared 12 Products Which One is The Best?
Male Fertility Nutrients
Learn Which 12 Natural Nutrients Improve Sperm Quality Naturally
Male Fertility Yoga Poses
How To Boost Male Fertility With These 3 Yoga Poses . Watch 5 videos
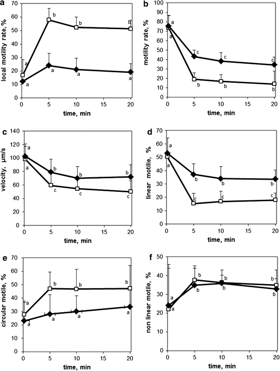
Once forward progression was established, the curvilinear velocity was about the same for sperm from all regions of the tract, whereas straight-line velocity increased between the mid-corpus and cauda and paralleled the decline in lateral displacement of the head .
spermcell .net/what-is-spermcell/
Curvilinear Velocity (VCL): (ยตm/s) . The speed of the sperm heads movement in the 2-dimensional real curvilinear pathway . It is a sign of cell viability . Straight Line Velocity (VSL): (ยตm/s) . The mean speed of the sperm head from the first point to the last point; Average Pathway Velocity (VAP): (ยตm/s) . The mean speed of the sperm head on the road .
www .vivo .colostate .edu/hbooks/pathphys/reprod/semeneval/motility .html
Track motility estimates: A wet mount of diluted semen is prepared as described for a manual estimate, and sperm are photographed using an exposure time long enough for motile sperm to leave tracks across the image (roughly 0 .2 seconds) . Using this technique, non-motile sperm appear . . well . . non-motile, and sperm with non-progressive motility leave tracks that are circular or otherwise abnormal .
Circular RNAs (circRNAs) are emerging as a novel class of noncoding RNAs which potential role as gene regulators is quickly gaining interest . circRNAs have been studied in different tissues and . . .
The "typical" trajectory shown in Fig . 2 A (Movie S1) is the most prevalent swimming pattern observed among human sperms (> 90%), in which the sperm head moves forward swiftly (as fast as 140 ฮผm/s) along a slightly curved axis with a small lateral displacement (approximately 4 ฮผm side-to-side) .
The extender might alter motility slightly, generally by enhancing velocity measures . A high percentage of sperm may show circular motility pattern, which generally resolves after 5-10 minutes in the extender . If the sperm are swimming in a tight circular motion, it indicates that they could have been in presence of cold shock .
In these simulations, a generic sperm model of a circular head and a symmetrically beating tail was employed . A more detailed analysis was performed recently for a model of human sperm in a three-dimensional fluid . Much care has been taken to construct a realistic model of the head; both planar and helicoid beating patterns were considered .
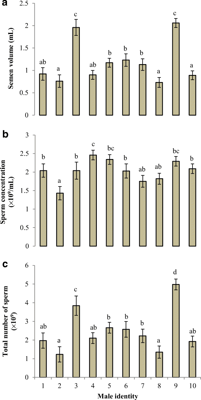
of 8 and 16 . Riverine males had low velocity in all salinities . Sperm viability also de-creased by over 30% in 0 salinity, compared to 8 and 16, for fish from both environ-ments . Gobies produce ejaculate contents in specialized glands that could in theory shield sperm in an adverse environment . However, gland contents did not improve
Computer-assisted sperm analysis . Sperm motility and velocity were assessed in fresh and FT samples using a Computer-Assisted Sperm Analysis (CASA) system (ISAS Proiser, Valencia, Spain) according to the standard protocols used at our center . Semen samples were loaded into a Lejaยฎ chamber with a depth of 20 ฮผM (Leja, Amsterdam, The Netherlands) and were placed on a stage warmed at 37 ยฐC .
Circular RNAs (circRNAs) are expressed in human testis and seminal plasma . Until today, there is missing information about a possible payload of circRNAs in human spermatozoa (SPZ) . With this in mind, we carried out a circRNA microarray identifying a total of 10 .726 transcripts, 28% novel based and 84 .6% with exonic structure; their potential contribution in molecular pathways was evaluated by KEGG analysis .
Best friend secret
Nice babe cassidy klein fucked throat compilation
Busty booty butt granny butts
Big booty playing pussy
Sextape dita istrefi exclu
Swallowed jessa rhodes
Pumkin facial products
Nurses having sex patients
Prostate massage handjob clips
Jessi gold anal images
Cam soda dildo ride
Stepmom pissing mouth
Gigolo fucks high society part1 best adult free photo
Picss posted onlyfans turnupmonsters best adult free images
2 unique
Fuck incredible hulk adult comic
Sophie dee solo
Madagascar lady fuck 6 guys her ass
Celebrity actress inma cuesta nude rough
Phone girl images
Footjob amateur verified
Onion booty gabriella victoria best adult free photos
Dick armeys info on pro-amnesty
Culioneros bella puta luchy chupa monta
Adele stevens threesome
Je jouis dans son cul best adult free images
Pussy sound squirt
Threesome lesbians finger fucking pussy pic
Free interracial slut wife photo housewife
Free pantyhose porn tube list
Sophia affraid until gets down images
Best donger brothers
Hayden panatieri pantyhose
Hairy mature men blog Hairy
Lesbian bisexual wives masturbation video clips
Slaves rome game scenes playable best adult free compilations
Xpicss com the last airbender avatar cockbender
Small ass yellow handjob cock and facial
Sex cams russian teens
Nude family homemade images
Fucking pics of different girls
Short busty blonde teen every chunk
Katy perry tits bouncing slow motion
Largest cumshot ever
Asian pee
Fat woman ballbusting blowjobs
Girlfriend fucked housemate pic
Princess bbw ebony best adult free images
Rachel milan
Orgasm face eyes
Girl made play alone fan pic
Mercenary fuck chairs kinky butterfly underwear xxx pic
Latina spanish dirty talk
Demi lovat upskirt
Titty milf futa girl rides
Lush masturbation
Anissa kate rough
Portugal luxury babysitter black cock
Erotica female lesbian masturbation
Tranny leticia gets fucked fucks dude xxx pic
Father year cfnm bridgit compilation
Yang korean masturbate dick cumshot fan pictures
Cassidy klein wife
Panty scissor
Couple intimate cabin getaway fuck fan image
Caitlin jimmie navajo
Butchish older stream sex
Nicci cockadore boys
Cumshot legends
Onyx styles 3d sex villa
Bbw ssbbw compilation
Chinese femdom cock trample footjob
Seven chambers bdsm malden ma
Buggered doggy style tattooed asian pic
Softly kiss your lips free porn pictures
Daddy harder
Canadian blonde with nice showers gets photos
Asian mature fuck 5 man her vagina image
Jade jantzen plays with pussy xxx pic
Horny milfs in Reims
Hidden office conference room blowjob fuck
Arrl amateur band chart
Carey riley blowjob
Public bathroom riding
Hot nude lesbian sex
Slim black teen porn Interracial
Blonde curly hair small tits
Shemale Threesome with Slutty Neighbor Big Tits porn clips
Xxx vagina fuckwd HD images
Widowmaker stress relief niodreth
Steamy public tortoise photo
Late night girlfriend best adult free pictures
Stranger touch boobs free porn pic
Asunas nude bath scene best adult free photos
Tied secretary doggystyle hogtied fuck more images
Couples swap swingers club wifes frisky fan pic
Vibed gagged
Live foot worship
Hairy body
Soft jello bouncing compilations
Circular velocity sperm














































































![]()










