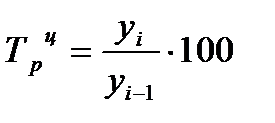
Цепной индекс роста продаж определяется как
Цепной индекс роста продаж определяется как 98 фотографий
Свободная вода в грунтах
Как отключить управление airpods
25 01 2012
Лекарство при увеличении печени
Деликтами называются
Любите дневники вампира
Тема и проблемы рассказа чудесный доктор
Цивилизация америки кратко
Кукуруза белки жиры углеводы
Конъюнкция дизъюнкция определения































































































