Cause And Effect Essay

β‘ ππ»ππ»ππ» ALL INFORMATION! CLICK HERE ππ»ππ»ππ»
How to Write a Cause and Effect Essay: The Full Guide . . .
Cause & effect essays - EAP Foundation
Cause and Effect Essay Outline: Types, Examples & Writing Tips
Cause and Effect Essay Examples
How To Write A Cause and Effect Essay - Outline & Examples
Cause and Effect Essay Examples - Sample College Essays
PDF Organizing an essay the basics 2 Cause and effect essay . . .
100 Best Cause And Effect Essay Topics For Students
Cause and Effect Essay Examples | AcademicHelp .net
The Best 70 Cause And Effect Essay Topics
Annotated Bibliography
Research Dissertation Proposal
Copy Center Business Plan
grammarly .com Report Ad
How to Write Better Essays : 5 Concepts You Must Master . Grammarly Can Save You from Grammatical Mistakes and Other Writing Issues . Try It Today .
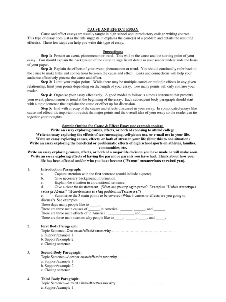
The effect is the outcome of the cause and the impact it makes . Thus, in a nutshell, a cause and effect essay looks at the reasons ( causes ) for something and then reflects the results ( effects ) . Why is it essential to master this type of essay ? Cause and effect essays are a common type of essay often assigned in schools, colleges, and universities . Your Personal Essay Writer β§ Article Review β§ Expository Essay β§ Research Paper Format β§ APA Format β§ Term Paper
A cause and effect essay looks at the reasons (or causes ) for something, then discusses the results (or effects ) . For this reason, cause and effect essays are sometimes referred to as reason and result essays . They are one of the most common forms of organisation in academic writing . Sometimes the whole essay will be cause and effect , though . . .
Cause #1 . Cause #2 . Cause #3 ( and so onβ¦) The effect of the causes . Conclusion . 2 . One cause , many effects . This type of cause and effect essay is constructed to show the various effects of a particular event, problem, or decision . Once again, you will have to demonstrate your comprehensive knowledge and analytical mastery of the field .
Basic Structure and Purpose . The purpose of an essay will determine its structure and format . The way you approach an informative essay , for instance, is going to be different from how you choose to write an argumentative essay . . Sometimes called reason and result essays , cause and effect essays examine an event or situation .
The type of essay that includes multiple paragraphs to examine causes and effects is known as a cause and effect essay . It is different from other kinds of essays as students have to explain a cause and its effects in detail .
A cause and effect essay is a type of academic essay that is written either as a paper on its own or part of another bigger paper . Unlike other types of essays , lecturers like the cause and effect papers because it allows students to explore both sides of a topic or issue .
Cause and Effect The following are things to keep in mind when writing a cause-and-effect essay Cause and effect analyzes why something happens . Cause-and-effect essays examine causes , describe effects , or do both . Causes precede effects , but causality involves more than sequence: cause-and-effect analysis explains
When you need the best cause and effect essay topics on the Internet, all you have to do is read this blog post . We have a list of the best 100 cause and effect topics and these topics are updated periodically . You can get some ideas from our list right now, as it has just been updated for June, 2020 . On top of the free topics, you also get to . . .
To demonstrate a cause and its effect is never that easy in written form . Check out our cause and effect essay samples to understand how to write an essay of this type on your own . How the Harry Potter Series Became So Popular . The Harry Potter series, written by J .K . Rowling, is perhaps the most popular set of novels of the modern era . . . .
The Best 70 Cause And Effect Essay Topics . Jessica Nita . 40 .6K . Updated: 4/7/2021 . Cause and effect essay is one of the easiest yet very entertaining types of essays . Thus you're able to write it within hours without the need to spend days and even weeks on it! Its target is to establish the causal relationships between something .
Victorian Age Essay
Claim Of Value Essay Topics
Five Senses Essay
Dissertation Data Science
Thomas Aquinas Essay
Essay About Learning English Language
Good Citizenship Essays
Essay On Unemployment In India 250 Words
Essays On Holidays
Finished Essays
Essay Rubric Template
Essay Write Numbers
Eyewitness Report Essay Topics
Sample Essay In Apa Format
Essay Editing Software For Teachers
School Memories Essay
Essay Writing University Level
Nhd Annotated Bibliography Format
Essay Speech Format
I Don Do My Homework
Business Studies Essay
Forest Conservation Essay
Incidents In The Life Of A Slave Girl Essay
Compare And Contrast Essay Topic
Definition Essay Love
I Stand Here Ironing Essay
Essays On Social Media
Argument Against Abortion Essay
Corruption Essay
Al Capone Does My Homework Full Book
Essay About Abraham Lincoln
Essay On Animal Farm And The Russian Revolution
Essay On Dussehra In Hindi For Class 8
Contoh Essay Lpdp Sukses Terbesar
Essay On Recession
Best Essays Online
Cover Page For Essay
Essay Potna Ft Lil Flip
Dissertation Kcl German
Dissertation Ethics Form Example
Hindi Essay On Dayanand Saraswati
Process Essay
Characteristics Of A Descriptive Essay
Teenage Depression Essay
Dissertation Tutorial Record (Education)
Research Persuasive Essay Topics
Legalization Of Marijuana Persuasive Essay
Ielts Essay Environmental Problems
Polsis Essay Guide 2022
Review Of Essay Writing Services
Annotated Bibliography Population Growth
Plagiarism College Essay
Annotated Bibliography Summary Example
Spongebob Essay Meme
Essay About Illegal Drugs In The Philippines
Essay In Hindi On Teachers Day
International Essay Contest For Young People
Lee Jackson Essay
Essay Rough Draft Example
Grading System Essay
Hsph Dissertation Submission
Modern Study Essay
Essay Over Life Lessons
Essay On Nuclear Family
Tips For Writing Descriptive Essays
Essay Writing In Urdu Allama Iqbal
Dissertation Tum
Research Essay
Watching Tv Essay
Essays On Beauty
Spm Essay Report English Language Society
Types Of Persuasive Essay
Dissertation Fdi
An Essay On Road Safety
Essay About Teachers Day In Tamil
Written Essay Papers
Essay On Terrorism In Hindi With Headings
Persuasive Essay Examples 12th Grade
Essay On Community
Argumentative Essay Literary Term
Save Nature Essay In Marathi
Censorship Essays
Essay On A Teacher
Great Gatsby Analysis Essay
Essay Mla Format 2022
Good Persuasive Essay Example
Literary Essay Thesis Examples
Ub Dissertation
Essay Banning Violent Sports
Essay Outline Format Template
Current Issue Topics For Essays
International Law Essays
Essay On Helen Keller
Footnote Essay
Paper Research Study
Essay In English Language Is Important
April Essay
Dissertation Upon A Roast Pig Pdf
Introduction Essay Structure
Buddhism Essay
Cause And Effect Essay
























h-30">bl-30">q-50">































































