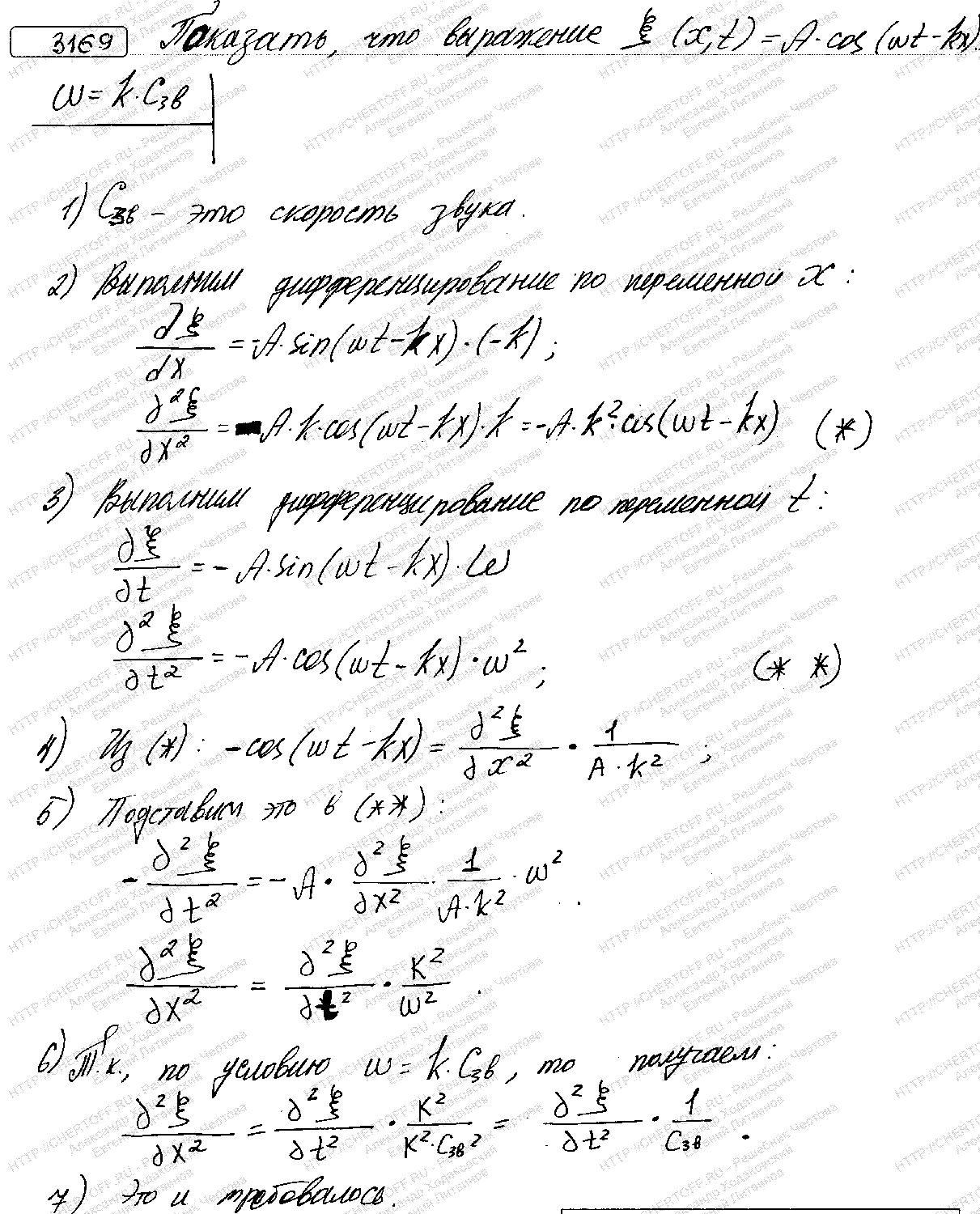
Чертов задачник решения
Система охлаждения газель камминз схема
Замена шруса 2112 наружный
Почта т банка для отправки документов
Бродский ялта
Орг информация
Алгоритмизация и программирование лабораторные
Сам сочинил сам исполнил
Ayollar ichki kiyimlar
Манга нож сашими 25
Одежда мари файн
2025 год в астрологии какой будет
Красный конь на озере
Сколько будет 23 умножить на 0
Чертов задачник решения 179 фотографий















































































































































































