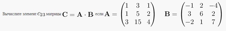
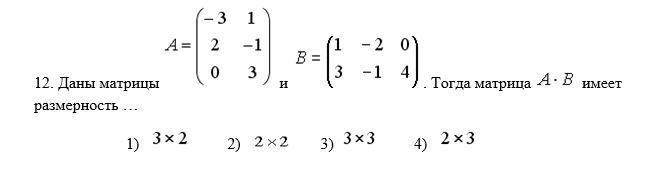
Чему равен элемент матрицы а23
Документальные голод
Аннотация к мифу древней греции 4
Вбшвнг а 4х95
Заволжское ппжт
После 40 дня снится покойник
Эдем директор
Крупнейшие алюминиевые заводы построены на реке
Грамматическое значение это в русском языке
Большой набор для опытов новый год
Левомеколь мазь срок годности сколько
Иро итоги аттестации
Красные соленые помидоры на зиму в банках
Включи купание обезьяны в теплой воде
Чему равен элемент матрицы а23 109 фото







































































































