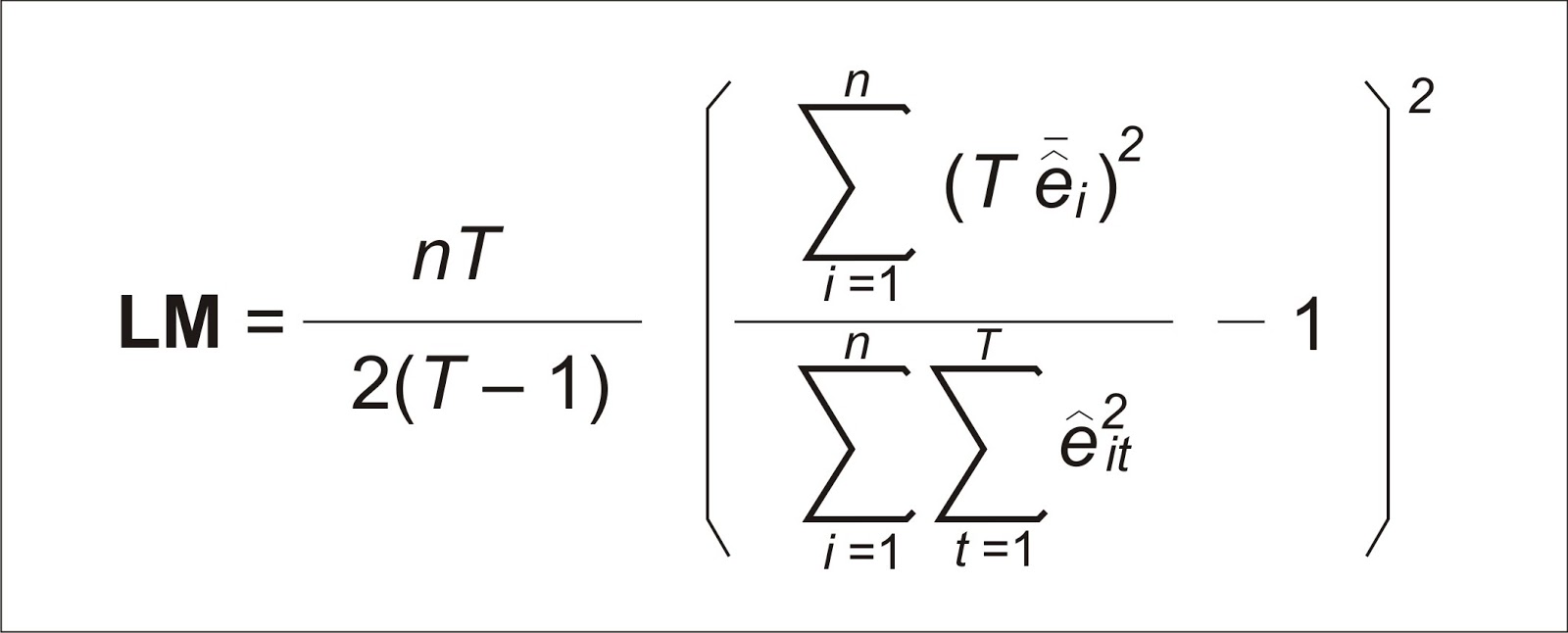
Бреуш паган
Gdm3 или lightdm
Какой памятник посвящен ледовому побоищу
Документы при трудоустройстве в школу
Время выполнения норматива неполная разборка автомата ак
Нижний новгород сколько лет 2025 году
Jkeratin cold
Математика просвещение 5 класс готовые домашние задания
Как носить белые рубашки женские
Кто повезти реклама
Сколько людей в новороссийске 2025
Флориана отзывы
Ценности субкультуры противоречат им же
October poker fest
Бреуш паган 108 фото










































































































