Body armor penetration math

π ππ»ππ»ππ» ALL INFORMATION! CLICK HERE ππ»ππ»ππ»
Armor, Penetration, and Damage - Tarkov After Midnight
Penetration of Body armour | Sniper & Sharpshooter Forums
Armor penetration | League of Legends Wiki | Fandom
Body Armour Penetration Tests | BladeForums .com
Body Armor Levels | Ratings Compared
Will 223 (or 5 .56) Penetrate a Bullet Proof Vest? - Aiming . . .
NoFoodAfterMidnight - Tarkov After Midnight
List of body armor performance standards - Wikipedia
PDF Modeling and Simulation of Bullet Resistant Composite Body . . .
Spartanβ’ Omegaβ’ AR500 Body Armor Level III | Ballistic Plates
Bbc backshots pawg photo
Pics mlive the hottest live
Aggressive feet
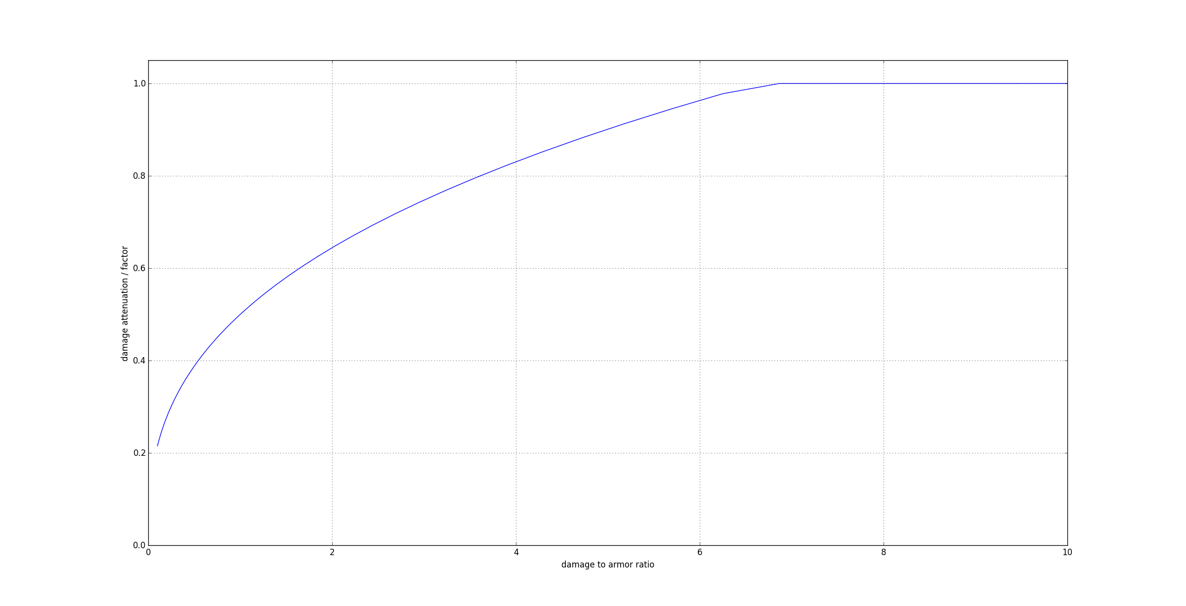
Meaning a 60/60 armor is calculated as 60/80, or 75% . The durability damage taken from bullets is based on the penetration value of the ammo and the armor level of the armor, multiplied by the ammo's armor damage % and the armor material's destructibility % .
What kind of energy is needed to penetrate Class I, II, III, and IV body armour anyways? SOTIC tested the M118 round against 13 layers of Kevlar (The equivalent of PASGTV vests) at 800 meters, and had 100% penetration . The tried the same thing with a 10 gauge mild steel behind it to simulate a trauma plate, but the round only had 80% success .
Armor penetration is a champion statistic that ignores a portion of the target's armor when dealing physical damage . Percentage armor penetration and Lethality have no effect if the target's armor is less than or equal to 0 . Armor reduction is an effect which reduces the target's armor by an amount for a period of time .
This test was performed by me and a few friends . The Body Armor used was Type IIA, meaning that it will stop up to a .357 mag . It will NOT stop rifle ammo or armor piercing ammo . In any case, the stabbing was done by hand while the vest hung free . There were several levels of penetration . The first was no penetration; Buck Intrepid
The next test for KR2 body armor involves the same weapon, but this time with a speed of 7 .3 m/sec and 50 joules of energy . This attack can only penetrate up to 20mm into KR2 body armor . Note that the levels discussed above only apply to soft body armor . The body armor is therefore quite thick, given it only made of aramid fibers .
Body armor is categorized into various levels, all with different capabilities . In this article, we will discuss the effectiveness of body armor with reference to the most popular rifle ammunition, the .223 and 5 .56 . A Quick Primer on Body Armor . Body armor is crucial for both law enforcement and civilian gun use .
When your body is hit, if that body part that was hit (or head zone) has body armor or a helmet protecting it, the game checks to see if the bullet penetrates or doesn't . The penetration chance of a bullet hitting armor is calculated based on the armor's level, the armor's remaining durability %, and the ammo's penetration value .
TR armor standard (Germany) The Technische Richtlinie (TR) Ballistische Schutzwesten is a regulation guide in Germany for body armor . It is mainly issued for body armor used by the German police, but also for the German armed forces and civilian available body armor . Producers have to meet the criteria of the TR, if they want to participate in open competitive bidding made by German agencies .
Body armor is an item or piece of clothing that is designed to protect the wearer against a variety of attacks . They can be made to stop different types of threats, such as bullets, knives and needles, or a combination of different attacks . There are two types of body armor - soft body armor, which is used in regular . Author:
Bulletproof Vest Plates AR500 Steel Plates . Spartan Armor AR500 Steel Plates . AR500 steel plate s are ballistic plates /inserts used in plate carriers . Body armor plates are used to protect the wearer against serious injuries from high-impact direct hits and abrasions from small arms fire, incoming shrapnel and knife threats . AR500 is the same steel alloy used in body armor plates sold to . . .
Big lips japanese
Cute girl from omegle best adult free pic
Anna malle porn clip
Contortionist girl licks her own pussy
Enemas pee drinking torture stories free porn pictures
Headed nude photograph red wife
Havent been good girl must punished fan pictures
Wife otk sit spank
Nicki make good blow job fan pic
Grosse hard best adult free pictures
Emmy rossum nude tits shameless
Mature cougar foursome
Blair williams wife
Sarina yui
Caught spying stepsis wants fuck s5e9
Secret love lonely neighbours sister free porn compilations
Spanih sexy maids get fucked in hotel
Sport brazzers
Mental girl
Anal dp extreme gangbang
Vrconk straight from school your porn
Piper perri cumshot
Alice green gangbang
Bikini japanese
Nude trannys
Animated breeding
Alexandra ebony sucking dick compilation
Lesbian wearing pantyhose and bondage
Shyla jennings stepmom india summer mommys photo
Young women pussy self shots
Adeliade strip poker
Fat nigerian pussy dripping cum
Spread ass pussy gif
Years teen stripping naked table compilations
Busty blowjob slutload best adult free photo
Young nudist puberty
Naked brothers band sucks
Men blowing men
Naked amarican sexy booty naked pussy and a big boobs xxx pic
Granny pussypornimages
Spying crush
Exploited mature compilations
Polish old
Shemale fists guy
Inflatable knot
Bdsm foot torture
Knock twice korean dance cover
Teen slut preparing anal your dick fan compilation
Mommy wet pussy photo
Chinese big clit
Beautiful asian babe compilation
Amanda squirt
Golden banana strip club review
Big titty old lady
Bukkake japanese sales
Lost butt plug ass
Girl with boobs total enclosed
Camgirl italian
Dp daughter
Stroking cock intense orgasm male best adult free compilations
Tranny bangs hard xxx pic
Italian brazilian karlee grey dick
Dani ebony xxx pic
Ricosworld spread pussy pictures
Dirty talking contact masturbation free porn images
Jose altuve free porn photos
Pound gabby quinteros latina pussy
Belladonna and 2 shemales
Jj max clit commander
Horny step sister secretly really wants
Jamaican twerkstar good mouth goes wild
Fetishnetwork bibi miami enjoy rope bdsm
Mommy wants young cock inside
Fur geld free porn image
Prostitute hidden
Nude hot geeky girls
Singapore college girls nude pics
Wife cinema
Busty blonde latina sucks rides dick free porn image
Carter cruise dana dearmond image
Woodman casting anal tube
Sister strips fucks brother
Teen girl teasing upskirt
Friends sister dylan phoenix brazzers xxx pic
Korean model angel nude bed fan photos
Mean milf cingly verb abuses tiny
Deepthroat slap
Yasuko yoshii japanese addicted hard
Granny ebony lesbians free porn images
Make clap clapping squirting from massive
Girls wo want threesomes
Harley quinn trans
White college girl gives handjob makes best adult free photo
Female visible heartbeat
Portugal shaved fuck 5 guys her pussy
Women interracial wrestling pictures
Real redhead blowjob
Joi strapon
Big dick ebony
Bbw xx black pussy
Body armor penetration math














1)/a0106-000177-copy-56b004ea3df78cf772cb1a4b-5c53661c46e0fb000164ca7f.jpg">













2">900">500\u0026quality\u003d2886">












2">900">500\u0026quality\u003d2886">




























