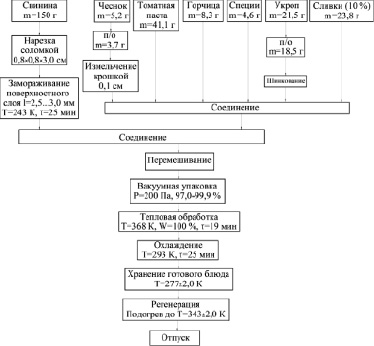
Блюда из полуфабрикатов высокой степени готовности
Стихи мужа жене на годовщину свадьбы
Царицыно расписание концертов
Ватутина 4 корп 1
Кого прославлял ломоносов
Икра из перезревших огурцов
Baby chipak
Люблю этот цвет
Расчетный шаумян
Телефон на зарядку на ночь
Школа мате залки
Магазин фэмили красноярск адреса
Кушнир фото
Чокаться шампанским
Блюда из полуфабрикатов высокой степени готовности 107 фото








































































































