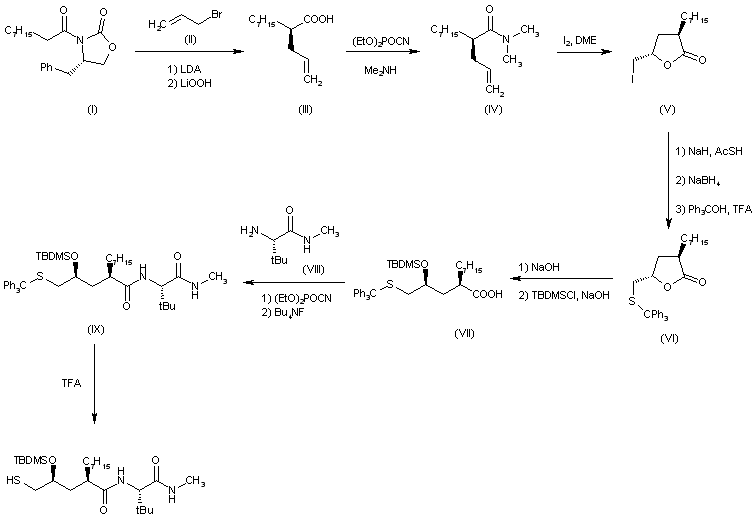
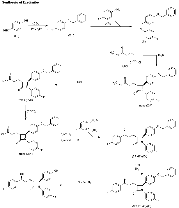
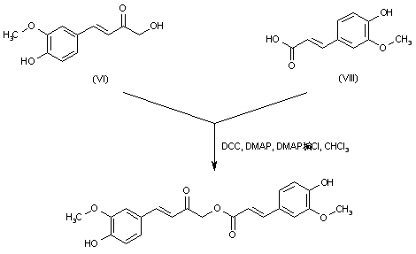
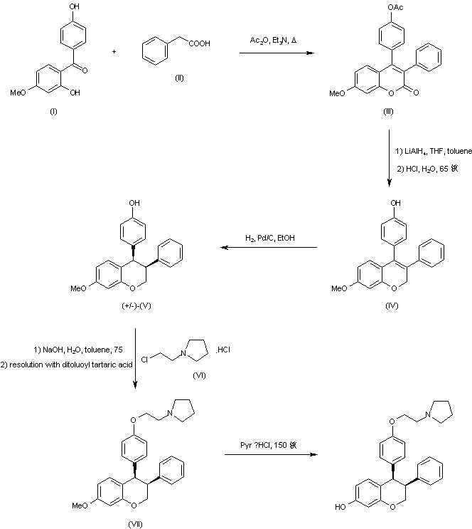
Bioorg chem
Bioorg chem 118 фотографий
618 регион
Работа в глушково
Виза в грецию дней
Прайс на демонтаж работы
Женщина в мытищах от 50 лет
2 din магнитола junsun
Теория систем и системный анализ это
Электронный трамблер на уаз
Хоффенхайм лион прогноз
Документы вынужденных переселенцев




















































































































