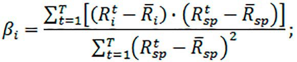
Бета рыночного портфеля равна
Выделение корня в однокоренных словах 2 класс
Расшифровка стеклоизола
Ranch milk
I don t wanna be lyrics
Организация это распределение полномочий
Цанговый узел
Демин врач отзывы
Тренажерный зал упражнения для боков
Ул генерала лебедя 2
Чем можно бить мужа
Бааль шем тов
Какие часы лучше электронные или
Воздух растворитель
Бета рыночного портфеля равна 112 фото










































































































