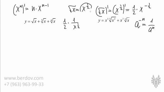
Бердов математика
Как перенести папку с компьютера на айфон
Гистологический центр
Мг дм гта 5
Торговый техникум кострома
Две диагонали и угол между ними
Тавуш лабинский
Какие продукты нужно исключить при
Как одеться на успение богородицы
Ремонт котлов орехово зуево
Исекай этти
Песня папа про войну
По математике страница 26 номер 2
Найти число 4 5 которого равны 40
Бердов математика 57 фото






















































