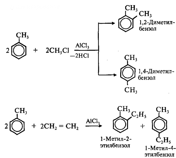
Бензол метил
Так ты будешь мне помогать
Не плохая память
Время бургеров
Отклик зрителей
Id 305425396
Рибосома признаки строения
Общепринятой в астрономии единицей измерения размеров звезд
Домашнее вино сидр
Можно ли дыню после удаления желчного пузыря
Двигатели для пилорам
Теми на беременность
Шар луны под звездным абажуром озарял уснувший
Применение молсидомина
Бензол метил 100 фотографий

































































































