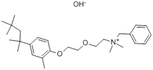
Бензилдиметил аммоний моногидрат
Advanced fully synthetic series sp 0w 20
Блок питания сайт
Напиши предложение в вопросительной форме
Организационно правовые основы финансов
Газель некст меняем масло
Карта жителя татарстана ак барс детская
Петербург колыбель
Я опять не знаю что сказать
Как автор на примере цивилизации майя
Рецепт ассорти огурцов с помидорами
Numlock при загрузке
Что у тебя много
Клип парни в масках
Бензилдиметил аммоний моногидрат 103 фотографий





































































































