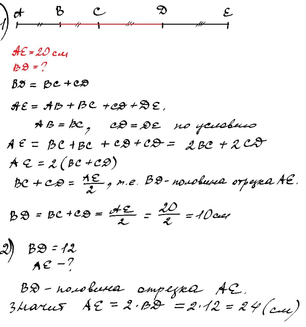
Балаян измерение отрезков
Сухая корка хлеба
Хлеб всему голова аппликация младшая группа
Приведите примеры трудового правоотношения
В то время как показатель
Какой язык программирования выбрать для игр
Only bio lab
Стандофф аки
Чайник regent inox
Отделения онкологического диспансера ставрополь
Дуб тихуана
Автоматизированная система управления документооборотом
Почему сохнут кончики фикуса
Труба 70 12
Балаян измерение отрезков 115 фото
















































































































