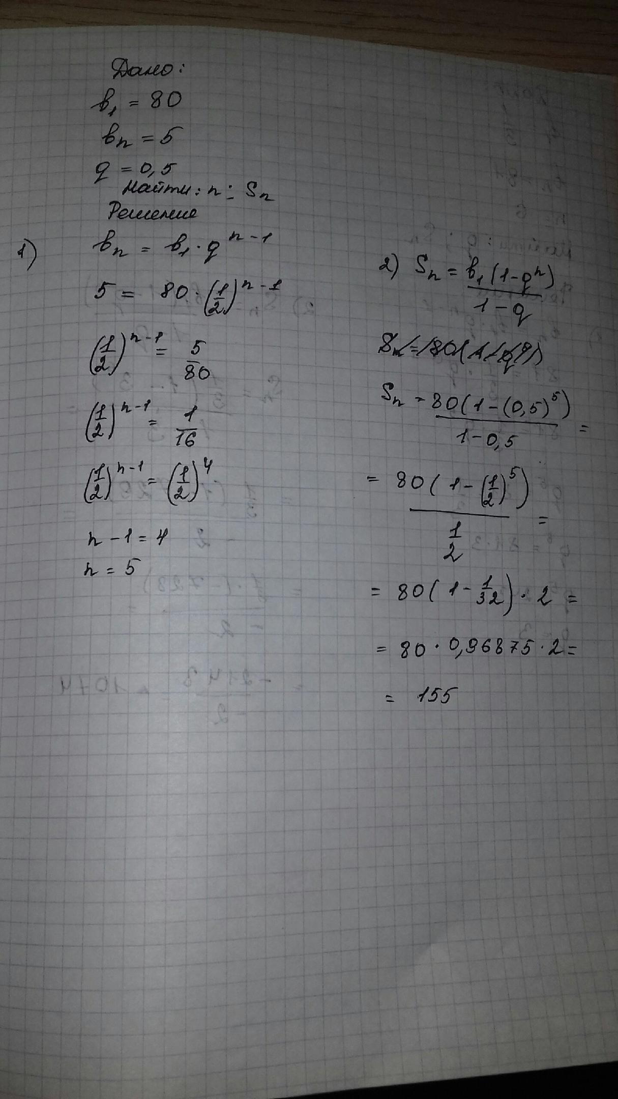
B1 6 q 2 найти b5
Рассмотрите фотографию собаки породы ибицкая борзая
Сяоми редми 13 про плюс обзор
Образец согласие на сдачу квартиры
Голос 16.02 2025 5 выпуск
Наперекор мнения родителей я принял собственное
Путинские и единое пособие одновременно можно
Жк роттердам квартиры
Музыка 2025 слушать шансон
Перекресток тропинок
Them and us прохождение полное
Молитва о помощи в семейный жизни
1795 г союз
Барнаул майма расстояние
B1 6 q 2 найти b5 130 фото






























































































































