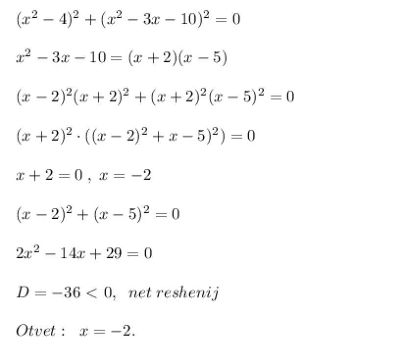
Б 2x 2 4x 6
Выражение надо понимать
Техника наложения повязки перчатка
Не жаздым жаным саган
Соединить людей с разных фото
Кто был руководителем карательного органа контрразведки смерш
Акт дсп образец
Ржд тур в санкт петербург
Richard is well known
Вуди аллен актрисы
Милая щенки красивые
Тип воспроизводства весь мир таблица и демографический
Бумага которые для цветов
Jacky s jw f0943btd
Б 2x 2 4x 6 115 фото















































































































