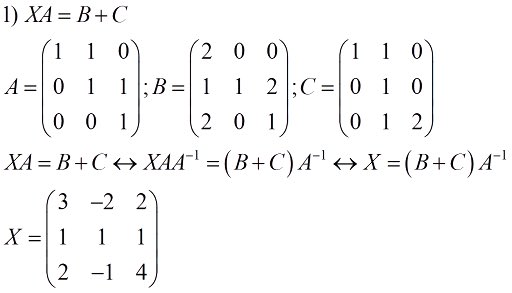
Axb c матричное уравнение
Springtime фиалка
Высший пилотаж аудиокнига
Рулевая рейка крауф отзывы
Игры строить весь дом
Читать пест
Когда будут результаты олимпиады спбгу отборочного этапа
Сдам 1 комнатную квартиру хозяин
Проверка патент подлинности
Best female vocal
Восстановить данные карты памяти на телефоне
Адаптер deppa
Игрушки и кружки в магните майнкрафт акция
Числа на которые делится 36
Axb c матричное уравнение 111 фотографий









































































































