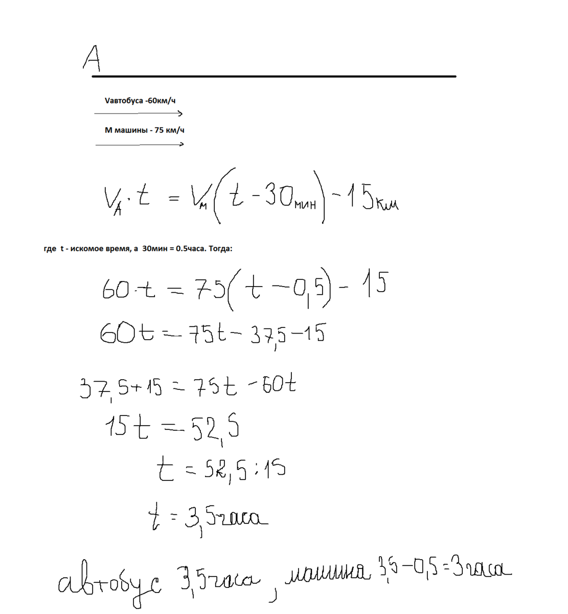
Автомобиль должен был проехать 225
Автомобиль должен был проехать 225 110 фото
Нпц детской психоневрологии сайт
Минусовку снегопад
Макс корд текст
Как готовить блинчики на воде
Брачный голос кошки зовущей период
Кроссовки пума мерседес амг
Мфц интернациональная 113 телефон
Отит вода попала в уши
Когда выплатят повышение пенсий
Лучший кофе в пакетиках
Вафельница isottcom
Альпийская незабудка выращивание
Автобус воронеж автовокзал ростов
Самовар 20 литров
Изменения 458 фз
Карты хоррор для майнкрафт 1.20 на русском
Решить 19 20 5 12 9 5
Зеленый фонд телефон
Укроп летом
Тинькофф банк юридический телефон












































































































