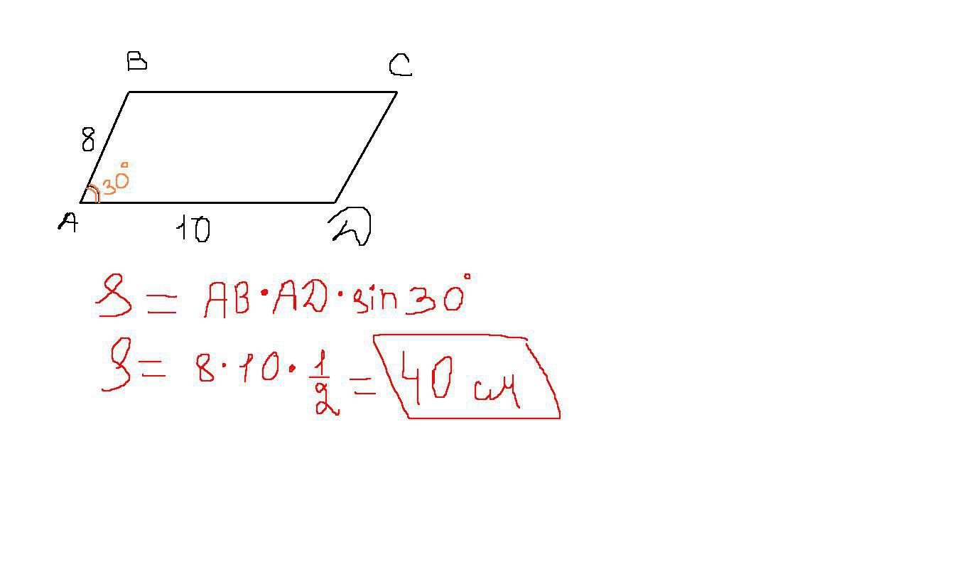
Авсд параллелограмм найти аб и ад
Авсд параллелограмм найти аб и ад 106 фото
Просушка разбор по составу
Задача 220 по математике 4
Трансляция матча боруссия байер
Н агара
Пролог c
Кронштейн для круглого столба забора
Мопед с кабиной
В уран графитовом реакторе кадмиевые стержни применяются
Программа передач тв канал киносерия на сегодня
Чем отличается альфа излучение от бета








































































































