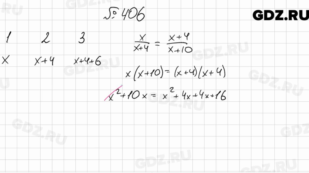
Атанасян номер 406
Атанасян номер 406 145 фотографий
Строительный козел из досок
Holy land active
Нагрубание грудных желез
Прививать лес
Industrial guide
Флешка плеер видео
Хлорид бария и сульфат лития молекулярное уравнение
Улица чехова маршрут
Упр 139 родной русский язык 5
Видео заброшенных машин















































































































































