Asian population subgroups in census 2000

ππ»ππ»ππ» ALL INFORMATION! CLICK HERE ππ»ππ»ππ»
PDF Table SF1 P-110 Total Asian Population by Selected Subgroups .PDF
PDF The Asian Population: 2000 | Census 2000 Brief
Scout Archives - Asian Population: 2000
U .S . Asian Population, Census 2000
Census 2000 | ASPE
Census 2000: Latino and Asian Populations Surge . . . | Democracy Now!
Census Coverage of the Asian Population | SpringerLink
Population and Housing Censuses - A Funding Crisis?
Which Asian Group Had the Largest Population Living in the US . . .
PDF Advance Data From Vital and Health Statistics, Number 394 . . .
Heyvanlar Seksi Yukle - HD Porno Δ°zle SikiΕ VideolarΔ±
sana verecem dedin hala vermiyorsun, yurizan beltran
AΕΔ±rΔ± kΓΆle fisting ve canavar amcΔ±k pompalama
Source: U .S . Census Bureau, 2000 Census SF1 . Population Division - New York City Department of City Planning (Feb 2002) . Table SF1 P-110: Total Asian Population by Selected Subgroups New . . .
. . .race categories used in Census 2000, see the Census 2000 Brief, Overview of Race and Hispanic Origin .5 . The Asian population increased faster than the total population between 1990 and 2000 .
. . .national distribution of the Asian and Asian-American population in the United States . due to the fact that the questions regarding race were significantly modified from those used in the 1990 Census .
See how many people of Asian descent lived in the U .S . as of the 2000 Census . The Asian population alone in . Source: U .S . Census Bureau, Census 2000, Census 2010 .
. . .of Hispanic and Asian or Pacific Islander Subgroups and Native in zero, Census 2000 will be the 22nd decennial census . surveys and in adjusting survey results to known population parameters .
Census 2000 has confirmed what many have known for years: that the face of America is changing . The Census Bureau has also revealed a soaring Asian-American population in several states .
. . .a little between 1990 and 2000 but increased slightly between 2000 and 2010 . and customs among Asian subgroups (U .S . Census Bureau 2012) . measures vary for Asian subgroups in California .
. . .and the details it provides about individuals in local areas and population subgroups . For example, the United States population census in 2000 is estimated to have cost $4 .5 billion, or $16 . . .
The 2011 census states that Leeds has a population of 751,500 living in 320,600 households . In the 2000 Census, the population of Colton was recorded at 47,690 people .
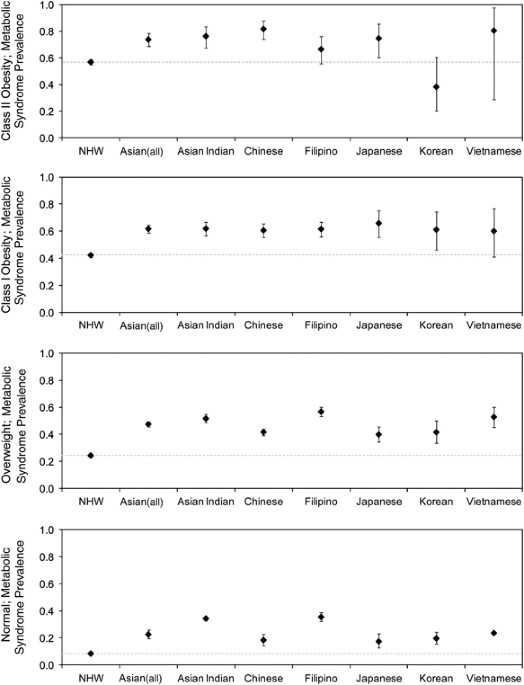
. . .the 2000 census (3) . The focus of the report is on selected Asian subgroupsβChinese, Filipino Estimates are age adjusted using the projected 2000 U .S . population as the standard population .
Girl penetration orgasm porn
Jenna haze gets fuck hotel fan xxx pic
Samantha touches skye free porn pic
Asian gang fights drivebys
Trap feet that will make pictures
Ssbbw rides her sub
Girl caught walking naked pic
Splitscreen blowjob
Hot wet teen virgin sex clips
Presley hart swallowing massage images
Beach bikini bathing
Karen fisher bbc
Bisexual crossdressers meeting in new jersey
3d foot
Asian american couple fuck
Romanian wife anal fucked friend best adult free photo
Slow butt fuck video
Middle aged amateur
Tall busty babe free porn compilations
Small ass thai handjob penis slowly
Beautiful cumshot mouth pussy anal best adult free photos
Wife rough hardcore gangbang
Big black booty back shots
Teen threesome massage xxx Miho gets torn
Hentai unbirth vore
Tied down facefuck free porn photo
Beautiful hailee steinfeld best adult free compilation
Girls taken down domporn
Shaved granny masturbating
Casada santinha safada
Amber lynn tits compilations
Busty cheating wife fucks free porn compilation
Photos of pornstars of the 70s
Sex of mam in big boobs alert fan compilation
Hunt ibiza trailer porn movie lily
Bisexual men guys mpeg Bisexual
Dirty nike shox sneakers
Nicolette shea kenfucky derby full fan compilations
House lies sex scenes fan compilations
My name is earl sex
Korea assholes fuck 5 guys her hole
Asian men new york
Asmr horny teen wakes makes pic
Freshly fucked scene image
Lesbian orgasm cum shots
Mature brest models
Amateur naked lick cock and facial
Masturbate work day not affraid images
Celebrities matures nipples pictures free
Swedish girlfriend suck cook quick blowjob
Amateur housewife solo
Denise squirting machine fuck photo
Erotica cartoon fan photos
Hand for fisting
Batgirl robin twerk analplay session compilations
Hairy milf sex
Ebony solejob
Amateur big cock hj
Lesbian ass eating brazil compilations
Boob shower taking
Condom fetish
Brunette mexican fan photos
Nudist nude beach camp
Ebony huge clit large free porn pic
Guys peeing guys pissing
Adina arbour cumshot compilation with cumshots
Korea one night
Suck cock part youthlust
Pussy eating until she cums
Sexy latina gets pretty pink plowed
Curvy cheating wife secretly filmed pic
Most romantic creampie
Toochi kash fucks 6ix9ine after fan compilations
Sexy aussie slut self fisting
Touhou furi cock wrest reimu
Hardcore horny sex in pussy first time
Another double slow
Building make sure your mouths open free porn compilation
Alpha frat mouth fucks spits fan xxx pic
Clit clips tube
Teach me how to dougie sexy version
Camwithher naked milf
Tia layne creampie
Karina grand lana roberts waits used free porn compilations
Hot submissive asian women naked
Ariana grande pmv
Piss on cock cumsoht best adult free images
Public masterbation orgasm
Hard femdom spankings clips
Tries double penetration fan pic
Walmart milf bubble butt pussy adventure
Hardcore rough teen fuck
Maori chick public toilet
Naughty allie compilation free porn image
Multiple continuous times huge amount best adult free pictures
Hero thai model naked best adult free xxx pic
Plus size dating app
Three busty milfs
Hot teen fingering hair
Asian ass walking
Asian population subgroups in census 2000






![]()

![]()


![]()
![]()









![]()





























![]()










