Arguing Essay

ππ»ππ»ππ» ALL INFORMATION! CLICK HERE ππ»ππ»ππ»
How to Write an Argumentative Essay | Examples & Tips
Argumentative Essays // Purdue Writing Lab
3 Strong Argumentative Essay Examples, Analyzed
10+ Easy Argumentative Essay Examples for Students
50 Compelling Argumentative Essay Topics
50 Great Argumentative Essay Topics for Any Assignment
100+ Interesting Argumentative Essay Topics of 2021
Argumentative Essay Examples - PDF | Examples
PDF Useful Argumentative Essay Words and Phrases
What Is an Argumentative Essay? Definition and Examples
Archetype Essay
Essay On Huck Finn
Essay On Obedience
Introducing your argument . Like other academic essays , an argumentative essay begins with an introduction . The introduction serves to capture the reader's interest, provide background information, present your thesis statement, and (in longer essays ) to summarize the structure of the body .
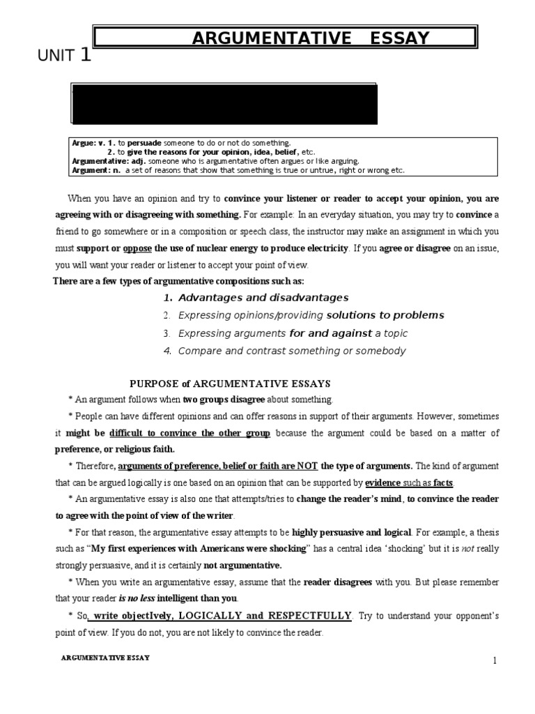
The argumentative essay is a genre of writing that requires the student to investigate a topic; collect, generate, and evaluate evidence; and establish a position on the topic in a concise manner . Please note: Some confusion may occur between the argumentative essay and the expository essay . These two genres are similar, but the argumentative . . .
An argumentative essay is an essay that uses evidence and facts to support the claim it's making . Its purpose is to persuade the reader to agree with the argument being made . A good argumentative essay will use facts and evidence to support the argument, rather than just the author's thoughts and opinions .
Argumentative Essay Example (PDF) Argumentative essays are assigned to university students more often than the students of schools and colleges . It involves arguments over vast and sometimes bold topics as well . For university students, usually, argumentative essay topics are not provided .
50 Argumentative Essay Topics . Illustration by Catherine Song . ThoughtCo . Grace Fleming, M .Ed ., is a senior academic advisor at Georgia Southern University, where she helps students improve their academic performance and develop good study skills . An argumentative essay requires you to decide on a topic and take a position on it .
An argumentative essay is one that makes an argument through research . These essays take a position and support it through evidence, but, unlike many other kinds of essays , they are interested in expressing a specific argument supported by research and evidence .
Argumentative Essay Topics Animals . Hunting for fun and sports is unethical and must get banned . Aggressive dog breeds such as pit bulls should not be allowed as pets . Testing beauty products on animals is justifiable . Using monkeys for research in labs is a necessary evil .
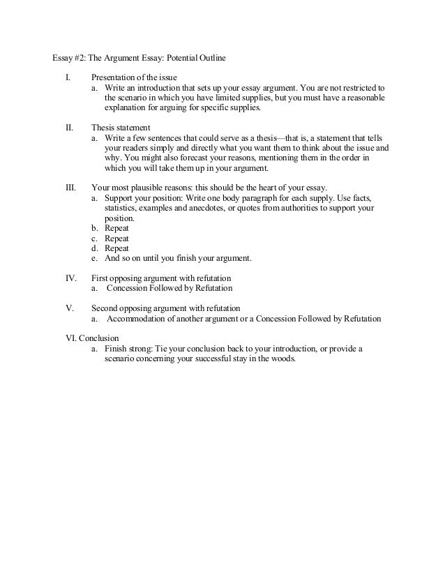
Listed below are some points when creating an argumentative essay . 1 . A clear, concise, and defined thesis statement that occurs in the first paragraph of the essay . In the first paragraph of an argument essay , students should set the context by reviewing the topic in a general manner .
Argumentative Essay Outline (Sample) Introduction - Thesis statement/claim - Main points (at least three) Body Paragraph 1 - Present your first point and supporting evidence Body Paragraph 2 - Present your second point and supporting evidence Body paragraph 3 - Present your third point and supporting evidence
An argumentative essay is a piece of academic writing that presents a claim its author must prove . The capacity to write an effective argumentative paper can come in handy in different real-life situations . By using the skills you've gained while working on it, you can, for instance, persuade potential investors that your business is worth . . .
Dissertation Agronomy
Life Story Essay
Essay Proposal Template
Essay Outline For College
Essay Contest Money Prize
Best Essay On Nature Conservation
Free Essay Grader Software
Essay My Role Model
Problem Solution Essay Example
Persuasive Essay On Texting While Driving
Gym Dissertation Ideas
Harvard Style Essay
Annotated Bibliography Vs Reference List
Mri Dissertation
Essay Discipline In Life
Inner Beauty Vs Outer Beauty Essay
Dissertation By Portfolio
Plant Cell Essay
To Kill A Mockingbird Essay Titles
Language And Communication Essay Topics
Good Words For Definition Essay
Academic Achievement Essay
Dissertation Pcs Racisme
Example Scholarship Essays
Reliability Research Papers Pdf
Online Essay
Essay Holiday Trip
Annotated Bibliography Website Citation Example
Evolution Essays
Research Paper Online
School Uniforms Argument Essay
Argumentative Essay Prompts Middle School
Mission Statement Essay
Dissertation Opening Sentence
Essay Topics For College Students Argumentative
Cell Phone Essay
Academic Writing From Paragraph To Essay
College Level Essays
Sex Sells Essay
Neo Ffi Dissertation
Best Essay Writing
Othello Essays
Essay Comparing Two Newspaper Articles
Essay Health Care
Essay Grammar Checklist
Good Manners Essay For Kids
Street Art Essay
Essays On Civil Disobedience
If I Could Change The World Essay
Annotated Bibliography Ufv
Spm Essay Article Best Group Leader
Comparison Essay Conclusion
Drug Trafficking Essay
Civil Law Essay
Essay On My Best Friend Computer In Hindi
Marketing Research Essay
Animal Farm Essays
Essay About Friends
Essay On Joker In Circus In Hindi
No Essay Scholarships 2022 Canada
My Hobby Essay In English For 10th Class
Essay Writing At Masters Level
Mhh Dissertation Formatierung
Writing Essays Grade School
Essay Describing A Person Example
Essays On Smoking
Essays On Cooking
Internet For And Against Essay
Pro Life Essay
Proposal Essay Topic List
Insanity Defense Essay
Funny Stories Essay
Examples Of A Thesis Statement For A Narrative Essay
High School Senior Essay
Persuasive Essay Rubric Elementary School
Satirical Essay On Abortion
Urbanization Essay
Christmas Day Essay
Critical Essay Outline
Essay On Atomic Energy
Proposal Essay Ideas
Dissertation Paper Pdf
Quotations For Essay College Life
Hcu Dissertation
Essay For Orchestra Op 12
Gcse Spanish Essay Phrases
Essays On Books
Transfer Essay Samples
Annotated Bibliography Audience
Informative Speech Essays
Globalization Essay
Essay In Urdu Language Mera School
Example English Essay Year 6
The Scarlet Letter Essay Topics
Wmu Dissertation Guidelines
Halloween Essays
Dissertation Hhu Math Nat
Essay In French Language On Myself
Essay Map Thesis
Law Essay Topics
Arguing Essay
1)/write-an-argument-essay-1856986-FINAL-5b75852cc9e77c00502429a2.png">























































































/argument-essay-topics-1856987_02-5b3636e3c9e77c00547dc084.png)