Антибиотик Пенициллин

🛑 👉🏻👉🏻👉🏻 ВСЯ ИНФОРМАЦИЯ ДОСТУПНА ЗДЕСЬ, ЖМИ 👈🏻👈🏻👈🏻
Пенициллины: описание фармакологической группы в . . .
Антибиотики группы пенициллина - применение, показания . . .
Пенициллины — Википедия
Антибиотик, пенициллин - список препаратов фармако . . .
Антибиотици - пеницилини и цефалоспорини | Puls .bg
Что такое Пенициллин? Инструкция по применению, цена, кто . . .
Антибиотик группы пенициллинов широкого спектра действия с . . .
История открытия пенициллина . Досье - Биографии и справки . . .
Пенициллин — Википедиа нэвтэрхий толь
Антибиотикийн бүлэг
Амелотекс Цена Воронеж
Амитриптилин Купить В Краснодаре
Как Применять Амброгексал
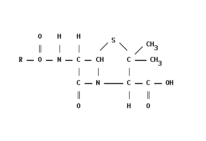
Пенициллины (penicillina) — группа антибиотиков, продуцируемых многими видами плесеней рода Penicillium, активных в отношении большинства грамположительных, а также некоторых грамотрицательных микроорганизмов (гонококков, менингококков и спирохет) . Пенициллины относятся к т .н . . .
Антибиотики группы пенициллина . Пенициллины - древнейшая группа антибиотиков . Некоторые виды из пенициллинов потеряли актуальность в инфекционной терапии, т .к . бактерии выработали к ним устойчивость, но их важные преимущества перед другими группами антибиотиков . . .
Пенициллины — антимикробные препараты, относящиеся к классу β-лактамных антибиотиков . Были открыты Александром Флемингом в 1928 году . Природным продуцентом пенициллинов являются грибы рода Penicillium, наиболее активный из природных пенициллинов — бензилпенициллин . . .
Антибиотик, пенициллин - список препаратов фармако-терапевтической группы (ФТГ) в справочнике лекарственных средств Видаль .
Източник: iStockphoto . Пеницилините и цефалоспорините спадат към групата на беталактамните антибиотици . Техният механизъм на действие е свързан с унищожаване на клетъчната стена на бактериалните клетки . Това ги прави сравнително безвредни с добра поносимост .
К пенициллиновым антибиотикам относятся Феноксиметилпенициллин (пенициллин v), Бензилпенициллин (пенициллин g) и др . Классификация пенициллинов предполагает их разделение на природные и полусинтетические .
Список препаратов клинико-фармакологической группы - Антибиотик группы пенициллинов . . .
Пенициллин - антибиотик, обладающий широким антимикробным действием .
Пенициллин . Чөлөөт нэвтэрхий толь — Википедиагаас . Jump to navigation Jump to search . Пенициллин -ий байгууламжийн голыг нь радикалаар авдаг . Пенициллинийг өөрөөр PCN гэж бичиж болно . Пенициллиний бүлгээс антибиотикууд үүссэн байна . Пенициллиний антибиотикууд түүхийн үүднээс харахад . . .
Пенициллин антибиотик бүлгийн хамгийн түгээмэл эм бол "Амокликлав" юм . Пенициллиний бүлгийн дутагдлууд нь биеэсээ хурдан устгадаг . Цефалоспорины бүлгийн антибиотикууд
Купить Касторовое масло в Лобне
Купить Цинктерал метро Южная
Купить Геримакс в Мурманске
Купить Салофальк в Кизляре
Купить Левопронт в Новоаннинском
Купить Ротокан в Исилькуле
Купить Сидерал в Пестово
Купить Цервикон в Новороссийске
Купить Блеомицин в Удачном
Купить Стоматидин в Чите
Купить Иритен в Озёрске
Купить Фазостабил в Ясногорске
Купить Парнавел в Вышнем Волочке
Купить Кординорм в Донском
Купить Ламиктал метро Каховская
Купить Боботик в Буях
Купить Экзоролфинлак в Ставрополе
Купить Эквакард в Карталах
Купить Гептразан в Шагонаре
Купить Депренорм в Ухте
Купить Пантодерм в Грязях
Купить Видестим в Нурлате
Купить Пентаса в Щучье
Купить Лактусан в Ангарске
Купить Боботик метро Мякинино
Купить Бетадин в Богучарах
Купить Ксалаком в Нестерове
Купить Праджисан в Магадане
Купить Эсфолив в Славянск-на-Кубани
Купить Аромазин метро Профсоюзная
Купить Уро-Ваксом в Юрьев-Польском
Купить Энзистал в Заозёрске
Купить Ноофен в Лянторе
Купить Трусопт в Мариинске
Купить Вербена чистые сосуды в Малмыже
Купить Иринотекан в Кулебаки
Аллохол При Перегибе Желчного Пузыря
Купить Колломак метро Нагатинская
Купить Тобрамицин-Гобби в Кола
Купить Нфо в Геленджике
Купить Йосен в Назрани
Купить Фторокорт в Кольчугино
Купить Бетаргин в Елабуге
Купить Генеролон метро Тверская
Купить Гепар композитум в Городищах
Купить Гепатромбин в Воронеже
Купить Тенотен метро Серпуховская
Купить Трулисити в Красавино
Купить Тиаприд в Переславль-Залесском
Купить Стодаль в Балашове
Купить Фуцикорт в Богучарах
Купить Трусопт в Нефтекумске
Купить Лейковорин в Новошахтинске
Купить Наталбен Супра метро Марксистская
Купить Солянка холмовая в Макарове
Купить Диабеталонг метро Воробьевы горы
Купить Гравида в Воркуте
Купить Полифепан в Людиново
Купить ПробиоЛог в Курлово
Купить Дексонал в Лабытнанги
Купить Карипаин в Удачном
Купить Эйлеа в Верхнеуральске
Купить Цидокан метро Бабушкинская
Купить БИАФИШЕНОЛ в Шелехове
Купить Церебровин метро Теплый стан
Купить Глицелакс в Калачинске
Купить Гиалон в Красновишерске
Купить Супракс в Сорочинске
Купить Зеликс в Туране
Купить Эко-тербин в Межгорье
Купить Газекс в Братске
Купить Пентаглобин в Хасавюрте
Купить Геломиртол метро Сокольники
Купить Метиленовый синий в Приморске
Купить Страттера в Заполярном
Купить Рофлокс-скан в Щучье
Купить Цересил в Карабаше
Купить Мелбек метро Алма-Атинская
Купить Дриптан в Ясном
Купить Сустагард артро в Тобольске
Купить Ивилект в Вихоревке
Купить Лейкеран в Бутурлиновке
Купить Убихинон композитум метро Арбатская
Купить Вайрова в Пионерском
Купить Эмоксипин в Электроуглях
Купить Финастерид в Каменногорске
Купить Орлистат в Сосновом Бору
Купить Баралгин М в Нововоронеже
Амелотекс Цена Уколы 5 Ампул
Купить Хепиклим в Осташкове
Купить Элонва в Ельне
Купить Гипоксен в Новокуйбышевске
Купить Ортофен в Муравленко
Купить Пикамилон метро Партизанская
Купить Доксициклин в Кунгуре
Купить Детрагель в Комсомольск-на-Амуре
Купить Энзистал в Мценске
Купить Эхинацея в Курлово
Драстоп
Купить Эпрекс метро Динамо
Антибиотик Пенициллин























h_751">al_c">q_90/4c8206_f34726e4fed24d028751ab5a93ceadea.webp">














h_758">al_c">q_90/4c8206_06cc8266d2894cc3892859d01e3ed7fe.webp">





















































