Annotated Bibliography Human Trafficking

ππ»ππ»ππ» ALL INFORMATION! CLICK HERE ππ»ππ»ππ»
Annotated Bibliography: Human Trafficking Victims with . . .
Human Trafficking - Annotated Bibliography - Refugee . . .
PDF An Annotated Bibliography on Human Trafficking and . . .
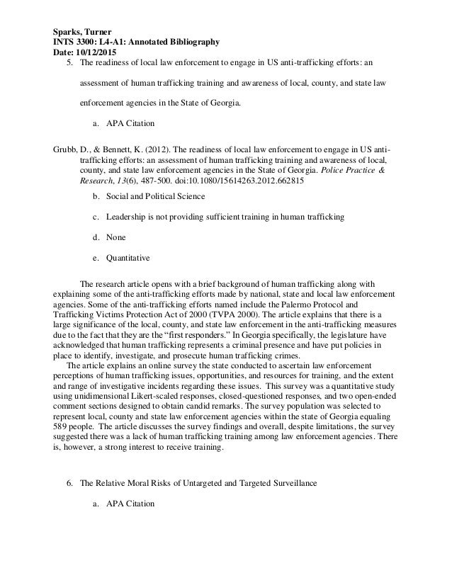
PDF Final Law Enforcement Human Trafficking Annotated Bibliography
annotated bibliography - human trafficking .docx - Running . . .
Sample Annotated Bibliography On Human Trafficking | WOW . . .
Annotated Bibliography On Human Trafficking - 1278 Words . . .
PDF Bibliography of Research-Based Literature on Human . . .
Annotated Bibliography - Human Trafficking
Annotated Bibliography on Sex Trafficking - 833 Words . . .
Dissertation Uva
Dissertation Dynamique De Groupe
I Have Already My Essay
Annotated Bibliography : Human Trafficking Victims with Disabilities or Mental Illness . According to several global reports, people with disabilities or mental illness are more likely to be targeted by traffickers than people without disabilities or mental illness . However, collecting data on trafficking victims is challenging and there is not . . .
In order to support this work, this annotated bibliography provides an overview of relevant academic and grey literature that addresses a range of related issues including labour trafficking , forced labour, sex trafficking , forced marriage, child trafficking and violence against women, issues that particularly impact specific groups including . . .
Annotated Bibliography on Human Trafficking and Services for Survivors - April 2018 suggestions on how officers in the region may address this issue at a local level in partnership with community services . Elislambouly, D . (2018) Highlights on Human Trafficking Statistics Canada, Ontario and Peel .
Annotated Bibliography : What Law Enforcement Officers Need to Know about Human Trafficking This research may be helpful to command staff, training staff, and policy makers in law enforcement agencies . Overview of Sex and Labor Trafficking 2 Different Populations 4 Immigrants 4 Children & Adolescents 7 Racial & Ethnic Minorities 16
ANNOTATED BIBLIOGRAHY 2 Assessing Perceptions of California Human Trafficking Victims Human trafficking is among the world's fastest growing criminal enterprises . It is thought to be worth over $150 billion a year . The vice targets vulnerable population and is a form of modern day slavery . Trafficking does not have to be across borders, it can entail controlling a person or group of people . . .
Read Human Trafficking Annotated Bibliographies Examples and other exceptional papers on every subject and topic college can throw at you . We can custom-write anything as well! We use cookies to enhance our website for you .
Annotated Bibliography On Human Trafficking . 1278 Words6 Pages . Prospectus on Human Trafficking in the United States For my research paper, I will be explaining the issue of human trafficking in the United States and propose a course of action we can take to help combat the growth of this problem . Article 3, paragraph (a) of the United Nation . . .
according to its methodological merit and compiled a comprehensive annotated bibliography of existing English-language publications on trafficking in persons, and an a study of children and youth trafficked . . . human trafficking using EndNote, an electronic bibliographic management program, developed a tax-
victims involved in human trafficking . The website also has a tab selection that has a number of images and videos dealing with human trafficking . The website gives further insight to what the ICE agency does in its effort to stop human trafficking by tightening homeland security of smuggling and trafficking human beings .
Annotated Bibliography On Sex Trafficking . 430 Words | 2 Pages . discusses the internet's affect on human sex trafficking and sexual abuse, but focuses on the impact that "Craigslist" has had on the black market of sex trafficking and prostitution . Author Danah Boyd writes about her research into sexual abuse and how she believes that the . . .
Essay On Wild Life Conservation
The Alchemist Essay
Essays About Destiny
Mla Essay Heading
Community Policing Essays
Essay Writing Service Reviews
Miss Brill Analysis Essay
Essay On Corporate Culture
Business Plan Competition
Essay On Junk Food Vs Healthy Food In Hindi
Oyster Dissertation
I Forgot To Do My Homework In French
Topics For Classification Essays
Meaning Of Friendship Essay
Essay Research Paper Performance Enhancing Drugs
A Persuasive Essay On Abortion
What Will Happen If I Don Do My Summer Homework
Essay Topics Romeo And Juliet
My School Essays
Five Paragraph Essay
Expositiory Essay
Essay Competition 2022 Uk
James Thurber Essays
Essay On Education System In India In Hindi
Dissertation How To Start
Essays On Hamlet
College Essay Examples Of A Personal Statement
Essay On Conservation Of Water
Poverty Definition Essay
Writing Comparison Essays
Essay My Future
Autobiography College Essay
Essays On Air Pollution And Its Causes
Essay Education System In India
Essay Typer Reddit
Critical Analysis Film Essay Examples
Dissertation Vs Research Proposal
High School Essay Contests For Scholarships
Essay Writing Service Uk
Essay About Nuclear Power
Skyrim Niruins Business Plan
Example Of A Good Persuasive Essay
Gilbert Grape Essay
Writing A Conclusion Essay
Essay On Renewable Resources
Essay Format Word Count
Essay Lay Out
Two Kinds Analysis Essay
Anti Smoking Essay
Essay On Judaism
Mexican American War Mini Q Essay
How To Write A Graduate School Essay
Essay On Extracurricular Activities
Literary Analysis Essay For To Kill A Mockingbird
Reader Response Essay
Essay Of Animal Farm
Essay Questions And Answers On Merchant Of Venice
Argumentative Essay Example For College
Essay Self Confidence
Reconstruction Essay
Annotated Bibliography Good Example
Dissertation Sur Les Sdf
Essay About Christmas
Essays On Education Reform
Writing An Analysis Essay
Essay Topic Proposal Sample
Essay Language Development
Essay On Quaid E Azam In Urdu For Class 8
Graduating From High School Essay
Sample Critical Essay
Essay On Vocational Education
Essay On Journey By Train For Class 4 In Hindi
Narrative Essay Conclusion Example
Term Paper Example
The Teacher Will Mark The Essays
Dissertation Schreiben
For Abortion Essay
Essay Tips For Upsc
Computer Essay
September 11th Essay
Essay Topics For 1984
Ptsd Essay
Business Plan Report
Sentence Starters For Romeo And Juliet Essay
Essay On My Best Friend In French Language
Write My Paper Coupon
Holi Essay In English For Class 8
Essay On My Aim In Life To Become A Doctor With Quotations
Dissertation Information Listening
Malcolm X Essays
Ib Theory Of Knowledge Essay
Conclusion Paragraph For Compare And Contrast Essay
Lmu Essay Prompt
Macbeth Analytical Essay
About Me Essay Outline
Narrative Essay Rough Draft Example
Harry Potter Essays
Dissertation Gouvernement
Dissertation Uk Universities
Examples Of Research Essays
Annotated Bibliography Human Trafficking




































f_auto">dpr_auto">h_300">w_300">c_pad">b_rgb:F5F3EE/v1468296610/human-trafficking-annotated-bibliography-with-peer-reviewed-30h0.jpg">
































