Annotated Bibliography Breakdown

๐ ๐๐ป๐๐ป๐๐ป ALL INFORMATION! CLICK HERE ๐๐ป๐๐ป๐๐ป
Annotated Bibliography Breakdown // Purdue Writing Lab
PDF Annotated Bibliography Breakdown - Spokane
Annotated Bibliographies // Purdue Writing Lab
The Writing Center | A Guide to Annotated Bibliographies . . .
The Annotated Bibliography - How to Prepare an Annotated . . .
Annotated Bibliography - MLA Citation Guide (9th Edition . . .
Annotated Bibliography - Research Process :: Step by Step . . .
Writing an annotated bibliography - Research & Learning Online
Annotated Bibliographies - APA 7th Edition Guide . . .
How To Write An Annotated Bibliography: The Complete Guide
Genetically Modified Food Essay
Uom Dissertation Guidelines
Literature Review And Annotated Bibliography Basics
If you are writing an annotated bibliography with many sources, it may be helpful to divide the sources into categories . For example, if putting together an extensive annotated bibliography for stem cell research, it might be best to divide the sources into categories such as ethical concerns, scholarly analyses, and political ramifications .
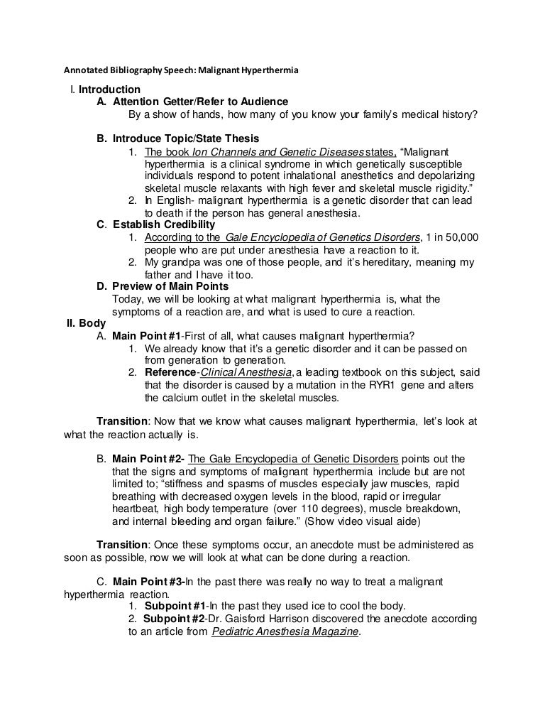
Annotated Bibliography Breakdown This is a breakdown of a general annotated bibliography in MLA formatting . Please note the header above needs to reflect your own last name and page number . An annotated bib includes a few very important details about the resource that you are using within your works . Here is a breakdown of what should be . . .
Definitions . A bibliography is a list of sources (books, journals, Web sites, periodicals, etc .) one has used for researching a topic . Bibliographies are sometimes called "References" or "Works Cited" depending on the style format you are using . A bibliography usually just includes the bibliographic information (i .e ., the author, title, publisher, etc .) .
An annotated bibliography is a list of annotation of sources in alphabetical order . An annotation is a one or two paragraph summary and/or analysis of an article, book, or other source . Generally, the first paragraph provides a summary of the source in direct, clear terms .
An annotated bibliography is a list of citations to books, articles, and documents . Each citation is followed by a brief (usually about 150 words) descriptive and evaluative paragraph, the annotation . The purpose of the annotation is to inform the reader of the relevance, accuracy, and quality of the sources cited . . . .
Annotated Bibliography Breakdown . An example of an MLA annotated bibliography . From the Purdue OWL . Annotations An annotated bibliography is a list of citations for various books, articles, and other sources on a topic . The annotated bibliography looks like a Works Cited page but includes an annotation after each source cited .
An annotated bibliography is a list of citations to books, articles, and documents that follows the appropriate style format for the discipline (MLA, APA, Chicago, etc) . Each citation is followed by a brief (usually about 150 word) descriptive and evaluative paragraph -- the annotation .
An annotated bibliography is an alphabetical list of information sources (e .g . journal articles or book chapters), formatted like a bibliography or a reference list, accompanied by a commentary on each source (which is called an annotation) . . . . and the breakdown of traditional family structures . OR .
An annotated bibliography is an APA reference list that includes a brief summary and analysis -- the annotation -- under the reference entry . An an n otated bibliography is composed of the full APA reference for a source followed by notes and commentary about that so urce . T he word "annotate" means "critical or explanatory notes" and . . .
How To Format An Annotated Bibliography ? The same rules that apply to academic writing will also apply to your annotated bibliography research paper . Here is a breakdown of popular formatting styles used by most colleges . APA (6th Edition) If you study in the social sciences, you are likely to encounter APA formatting .
easybib .com Report Ad
Help Make Sure Your Paper Is Polished and Cited Correctly With EasyBibยฎ Plus . . Cite in over 7,000 styles including APA and Chicago .
Commercial Analysis Essay
Action Research Paper Edd 560
Censorship Essay Topics
College Essay Introduction Tips
Custom Dissertation
Dissertation Philo Khagne
Essay About Social Media
How To Say I Finish My Homework In Spanish
My Dream House Essay
Essay On Pollution In Hindi For Class 1
Uea Dissertation Guidelines
Finance Essay Writing
Essay Best Friends
Essay On Same Sex Marriage
How To Do My Math Homework Faster
Macbeth Essay Ambition
Narrative Essay On Returning To School
Essay My Ambition In Life Is To Become A Teacher
Argumentative Essay On Bullying In Schools
Best Essay Writing Sites
Personal Traits Essay
Essay Writer Service
Essay Democracy
Philosophy Essays Examples
Sample Essays For High School
Gm Foods Essay
How To Say I Do My Homework In German
Essay About Love Story
Dissertation On Lgbt Rights In India
Essay On Andrew Jackson
Wuthering Heights Essays
Essay Outline Diagram
The Kite Runner Essay Topics
Dissertation Ursula Von Der Leyen
Annotated Bibliography Nursing Ethics
Magazine Analysis Essay
Christopher Columbus Hero Or Villain Essay
Essay On The Awakening
Dream Children Essayist
Essays On Basketball
How To Write A Process Analysis Essay
Essay Junk Food Vs Healthy Food
Free Online Essay Editor Software
Essay About Friendship Story
Writing A Personal Experience Essay
Terrorism Essay In English
Dissertation Hypothesis
Sample Essay Topics For High School
Essay On Hindi Bhasha Ka Mahina
Advantages And Disadvantages Of Mobile Phones Essay
How To Write A Body Paragraph For An Essay
Essay Integrity
Good Topics For Compare And Contrast Essay
Cheap Essay Writers Uk
Good Topics For A Process Essay
Essays On Obesity In America
Apology Essays
Short Essay On Pollution Free Diwali
Science Vs Religion Essay
Spanish Essay
The Things They Carried Essays
Cause And Effect Essays On Divorce
Shooting An Elephant And Other Essays
Essay Buy
Argumental Essays
Jrr Tolkien Essays
My Trip Essay
Rousseau Essay
Religion Essay
Army Officer Essay
Good Essay Books For Ias
Essay Writing Jobs Uk
Essay On Movies
Online Essay Editing
Essay Outline Example
Apa Format In Essay
Rcn Dissertation
Buy Essay Service
Essay My Best Friend For Class 10
Family Story Essay
Outline Of Persuasive Essay
Bcps Dissertation Title
Macbeth Essay Topics High School
Donald Trump Essay
Good Movies To Write Essays On
Essay Correction App
Socrates Apology Essay
Essays On Population
Online Custom Essay Writing Service
Short Essay On Mahatma Gandhi In Telugu Language
Essay Spanish To English Translation
Cultural Anthropology Essays
Hbs Essay Analysis
High School Essays
Dissertations Ghostwriting
Essay On World War 1
School Violence Essay
Ideal Society Essay
Goals Essay
A Level Essays
Annotated Bibliography Breakdown































204">203">200_.jpg">






































204">203">200_.jpg">

