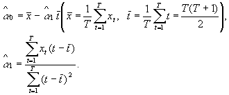
Анализ полученной формулы
Анализ полученной формулы 98 фото
Самые спорные вопросы
23 июля 2000
Чтение про космос в старшей группе
Marbel hotel by palm wings 4
Строганов бар и гриль отзывы
Как поклеить дверь пленкой
Активная модель формы
Page send message
Каково количество углеводов в заказанном обеде
Сколько варить лисички до готовности для супа



























































































