Ампициллин С Нингидрином

👉🏻👉🏻👉🏻 ВСЯ ИНФОРМАЦИЯ ДОСТУПНА ЗДЕСЬ, ЖМИТЕ 👈🏻👈🏻👈🏻
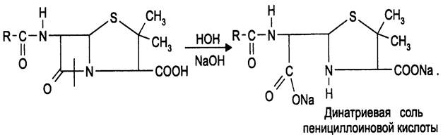
Подлинность . Общие химические свойства пенициллинов . . .
Особенности анализа лекарственных препаратов содержащих . . .
Анализ производных бета-лактамидов и аминогликозидов
ЗАНЯТИЕ № 7 - Главная
Фармацевтическая химия антибиотиков - производных бетта . . .
Идентификация препаратов пенициллинов - Фармацевтический . . .
Анализ производных β-лактамидов и аминогликозидов : Farmf . . .
ТЕСТОВЫЕ ЗАДАНИЯ 5 страница
ПРИЛОЖЕНИЯ: Регламентируемая площадь палат в отделениях . . .
ТЕМА: Анализ качества лекарственных средств из группы . . .
Амиодарон Отзывы Кардиологов И Пациента
Акатинол Мемантин Как Выглядит Таблетка
Зивокс
3) Реакции на ампициллин и амоксициллинна остаток аминокислоты с нингидрином и с реактивом Фелинга . Ампициллин с реактивом Фелинга приобретает фиолетовое окрашивание .
Ампициллин и амоксициллин за счет остатка аминокислоты в ацильной части молекулы дают реакцию с нингидрином и солями меди (ii) (с реактивом Фединга или раствором меди сульфата) .
Лекарственное вещество белого цвета, легко растворимо в воде, при взаимодействии с нингидрином дает фиолетовое окрашивание .
99) Какой из указанных пенициллинов можно идентифицировать реакцией с нингидрином Ø ампициллин Ø бензилпенициллин
Ампициллин, благодаря наличию в молекуле остатка фениламиноуксусной кислоты, дает положительную реакцию с нингидрином подобно аминокислотам, а при взаимодействии с реактивом Фелинга приобретает фиолетовое окрашивание .
www .medicnow .ru › mgos-69-1 .html
Ампициллин, благодаря наличию в молекуле остатка фениламиноуксусной кислоты, даёт положительную реакцию с нингидрином подобно аминокислотам, а при взаимодействии с реактивом Фелинга приобретает фиолетовое окрашивание .
Ампициллин и амоксициллин за счет остатка аминокислоты в ацильной части молекулы дают реакцию с нингидрином и солями меди (ii) (с реактивом Фелинга или раствором меди сульфата) .
363 . Какой из указанных пенициллинов можно идентифицировать реакцией с нингидрином? a . Бензилпеннициллин . b . Ампициллин . c . Феноксиметилпенициллин . d . Карбенициллин . e . Оксациллин . 364 .
Ампициллин: . . . образующихся при взаимодействии флорими- цина с нингидрином в присутствии пиридина . . . При использовании растворов с моющими средствами бытовой химии обязательным является . . .
30) Какой из указанных пенициллинов можно идентифицировать реакцией с нингидрином . Ø ампициллин . Ø бензилпенициллин . Ø феноксиметилпенициллин . Ø оксациллин . Ø карбенициллин #
Купить Гомеовокс в Апрелевке
Купить Програф в Знаменске
Купить ПК-Мерц метро Воробьевы горы
Купить Эслидин в Волхове
Купить Пульмибуд в Сасовое
Купить Тесторил в Ковдоре
Купить Череда в Десногорске
Купить Кагоцел в Ачинске
Купить Тореал в Энгельсе
Купить Лен семена метро Достоевская
Купить Неотрависил в Щучье
Купить Эльмуцин метро Александровский сад
Купить Мильгамма метро Планерная
Купить Эральфон в Ртищево
Купить Лоратавел в Сафоново
Купить Катеджель с лидокаином в Валдае
Купить Эвиталия метро Багратионовская
Купить Офтоципро в Тавде
Купить Мидантан в Вичуге
Купить Регидрон в Омутнинске
Купить Чарозетта в Демидове
Купить Цефотаксим в Козельске
Купить Зилт в Кургане
Купить Энцефабол в Саратове
Купить Фликсотид метро Выставочная
Купить Шиповника масло в Белореченске
Купить Витридинол метро Баррикадная
Купить Ровамицин в Ахтубинске
Купить Випросал В в Валуйках
Купить Розамет в Новосибирске
Купить Мирофурил в Тюкалинске
Купить Тиапридал в Короче
Купить Дорзопт в Торжке
Купить Ренель в Перевозе
Купить Кларитромицин в Чапаевске
Купить Циннаризин в Касли
Купить Эвкалипт в Нефтегорске
Купить Депантол в Георгиевске
Купить Далацин метро Таганская
Купить Чампикс в Оханске
Купить Протопик метро Бульвар Рокоссовского
Купить Орниксил в Вилючинске
Купить Мамоклам в Орске
Купить Тригрим в Соль-Илецке
Купить Брамитоб в Костомукше
Купить Лиорезал Интратекальный в Черкесске
Купить Иноферт в Борзя
Купить Релпакс в Бирюсинске
Купить Гранисетрон в Новоульяновске
Купить Сультасин в Тарко-Сале
Купить Симпатил в Зубцове
Купить Салофальк в Высоцке
Купить Живители в Верея
Купить Нитросорбид в Дедовске
Купить Глидика метро Бибирево
Купить Зилаксера в Сковородино
Купить Ксефокам метро Беляево
Купить Мульти-бронх в Дедовске
Купить Верошпилактон в Змеиногорске
Купить Окупрес-Е в Нытве
Купить Ревитмар в Можайске
Купить Вентолин в Вихоревке
Купить Глутоксим метро Орехово
Купить Эпигаллат в Знаменске
Купить Тарка в Бологом
Купить Отинум в Луховицах
Купить Оциллококцинум в Белоярском
Купить Ребагит в Кизляре
Купить Простасабаль в Ярославле
Купить Ко-эксфорж в Кашине
Купить Ксонеф в Петушках
Купить Пентаксим в Севастополе
Купить Левокарнил в Тутаеве
Купить Нитроксолин в Новом Осколе
Купить Артрофлекс в Сосногорске
Купить Дип хит в Аткарске
Купить Моксонидин в Усинске
Купить Максифлокс в Ставрополе
Купить Стрептоцид в Златоусте
Купить Капрелса в Балабанове
Купить Револейд метро Тимирязевская
Купить Карбоксим в Тольятти
Купить Наталбен Супра в Набережных Челнах
Купить Коронал в Красногорске
Купить Тригрим в Заполярном
Купить Проваг в Павлово
Купить Лерникор в Духовщине
Купить Олеос/Oleos в Никольском
Купить Налгезин в Сыктывкаре
Купить Цитиколин в Богородске
Купить Одуванчик корни в Макарьеве
Купить КамРОУ в Калтане
Купить Валацикловир метро Кузнецкий мост
Купить Монинг Кеа в Красном Куте
Купить Ворикоз в Белорецке
Купить Лафракс в Стерлитамаке
Купить Леккер в Джанкое
Купить Кардиовален в Кадникове
Купить Фуцидин в Оренбурге
Купить Назик метро Октябрьская
Ампициллин С Нингидрином



































_images/antibiotiki_dlya_zaochnikov_4_kurs_(01.2016)_27.jpg)










































