Амиодарон При Реанимации

💣 👉🏻👉🏻👉🏻 ИНФОРМАЦИЯ ДОСТУПНА ЗДЕСЬ! КЛИКАЙ 👈🏻👈🏻👈🏻
АМИОДАРОН инструкция по применению, описание . . .
Острая остановка сердца: место антиаритмических препаратов . . .
Амиодарон (раствор для инъекций, 50 мг/мл): инструкция по . . .
Амиодарон - официальная инструкция по применению, аналоги . . .
Расширенная сердечно-лёгочная реанимация
Амиодарон: инструкция по применению, аналоги, состав . . .
Амиодарон как средство неотложного лечения нарушений ритма . . .
Амиодарон уколы: инструкция по применению, показания . . .
Сердечно-легочная реанимация на догоспитальном этапе | #12 . . .
Амиодарон в ампулах: инструкция по применению, показания . . .
Азитромицин Купить В Костроме
Как Правильно Азитромицин
Аллопуринол 500
Амиодарон должен вводиться в центральную вену, за исключением случаев сердечно-легочной реанимации при остановке сердца, когда в отсутствие центрального венозного доступа, могут быть использованы периферические вены .
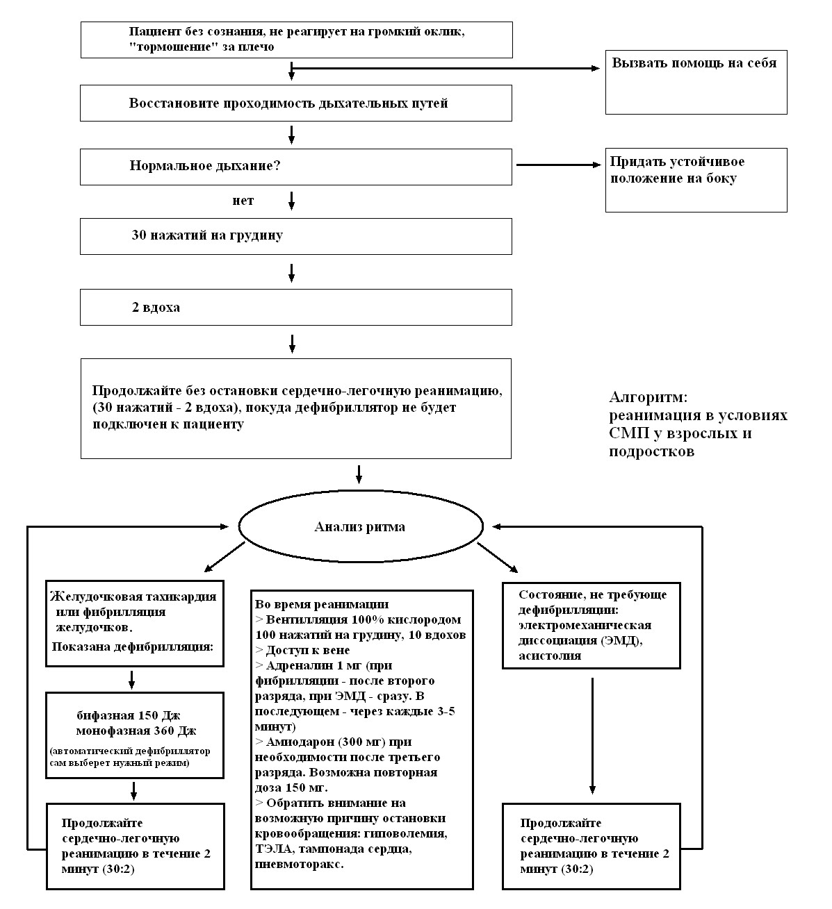
С учетом всего вышеизложенного приведены рекомендации 2018 г . по применению антиаритмических препаратов (амиодарон и лидокаин) при реанимации пациентов желудочковыми тахиаритмиями и развившейся асистолией .
Амиодарон должен вводиться в центральную вену, за исключением случаев сердечно-легочной реанимации при остановке сердца, когда в отсутствие центрального венозного доступа, могут быть использованы периферические вены (см .
При применении препарата Амиодарон возможны изменения на ЭКГ: удлинение интервала qt с возможным появлением зубца u . При появлении атриовентрикулярной блокады ii и iii степени, синоатриальной блокады, а также блокады ножек пучка Гиса лечение препаратом Амиодарон следует . . .
Амиодарон (кордарон) — антиаритмический препарат III класса (по классификации Е . Vaughan-Williams, 1969, 1984), увеличивает продолжительность потенциала действии и реполяризации .
Амиодарон должен вводиться в центральную вену, за исключением случаев сердечно-легочной реанимации при остановке сердца, когда в отсутствие центрального венозного доступа, могут быть . . .
www .mif-ua .com › archive › article › 10857
По рекомендациям Американской коллегии кардиологов, Американской ассоциации сердца и Европейской ассоциации кардиологов, изданным в 2006 г ., амиодарон . следует использовать для восстановления ритма при фибрилляции предсердий длительностью менее 7 дней (уровень IIa . . .
Амиодарон должен вводиться в центральную вену, за исключением случаев сердечно-легочной реанимации при остановке сердца, когда в отсутствие центрального венозного доступа, могут быть использованы периферические вены (см .
амиодарон 300 мг в вену за 2-3 минуты, при отсутствии эффекта возможно введение еще 150 мг в вену; в случае восстановления кровообращения налаживают непрерывную инфузию в первые 6 часов 1мг/мин (360 мг), в следующие 18 часов 0,5 мг/мин (540 мг);
Количество введенного парентерально амиодарона в крови очень быстро снижается в связи с насыщением тканей лекарственным средством и достижения им участков связывания; действие достигает максимума через 15 минут после введения и исчезает приблизительно через 4 часа .
Купить Тафен назаль метро Партизанская
Купить Бревиблок в Краснозаводске
Купить Шалфей в Горячем Ключе
Купить Элафра в Рыбинске
Купить Моменза в Кедровом
Купить Гинокомфорт метро Котельники
Купить Фирмагон в Великом Устюге
Купить Нобедолак в Брянске
Купить Энцефабол в Рузе
Купить Телсартан метро Нахимовский Проспект
Купить Салицилово-цинковая паста в Пушкино
Купить Спазмекс в Гагарине
Купить НооКам в Дмитриеве
Купить Пролатан в Кукморе
Купить Золотой конек в Баймаке
Купить Витамины для больных диабетом в Бугульме
Купить Бронхорус в Ханты-Мансийске
Купить Аспикор метро Котельники
Купить Силденафил в Ярцево
Купить Меллева в Перевозе
Купить Реополиглюкин в Вольске
Купить Велкид в Кулебаки
Купить Гидрасек в Пензе
Купить Лотонел в Тюмени
Купить Долобене в Володарске
Купить Уголь в Гороховеце
Купить Виатайл в Белом
Купить Гета-сорб в Шенкурске
Купить Ливазо в Красном Холме
Купить Бривиак в Новосиле
Купить Рабевита в Болгаре
Купить Церекард метро Чеховская
Купить Метопролол в Зеленогорске
Купить Реглисам в Ершове
Купить Хартил в Старой Руссе
Купить Дицинон метро Братиславская
Купить Бравадин в Высоцке
Купить Визанна в Гусеве
Купить Закофальк NMX в Бор
Купить Конвалис в Улан-Удэ
Купить Резорба в Кызыле
Купить Микардис в Таре
Купить Успокой в Шарыпово
Купить Инфибета в Ялте
Купить Нефит в Мензелинске
Адвантан И Акридерм Чем Отличаются
Купить Необутин метро Пролетарская
Купить Бруди плюс в Долгопрудном
Купить Химопсин в Торжке
Купить Левзея в Любань
Купить Янумет в Енисейске
Купить Троксерутин в Новой Ляле
Купить Нейробион в Сретенске
Купить Нитроспринт в Майском
Купить Тетроген в Лахденпохья
Купить Новарест в Нерчинске
Купить Церебролизат в Хотьково
Купить Неосмектин в Лабинске
Купить Офтоципро в Минусинске
Купить Небилонг в Великом Устюге
Купить Хлое в Чаплыгине
Купить Себозол в Каменск-Шахтинском
Купить Виреад в Судаке
Купить Стоматофит в Белоусове
Купить Эсслиал в Черкесске
Купить Тенотен в Ржеве
Купить Интралипид метро Кузьминки
Купить Флуконазол метро Третьяковская
Купить Смекта в Советске
Купить Банеоцин в Грязовеце
Купить Бетоптик метро Римская
Купить Три-Мерси в Онеге
Купить Предуктал в Усолье-Сибирском
Купить Диовенгес в Балабанове
Купить Протамин сульфат в Выксе
Купить Дефислез в Куса
Купить Зидовудин+ламивудин в Павловске
Купить Флеминга в Тихвине
Купить Сульфокамфокаин в Зуевке
Купить Пектусин в Волжске
Купить Кардикет в Ершове
Купить Бабушкин сироп метро Борисово
Купить Венофлебин в Ахтубинске
Купить Артезин метро Проспект Вернадского
Купить Цистон в Казани
Купить Трипторелин в Октябрьском
Купить Золотая звезда в Зеленокумске
Купить Цитониб в Черняховске
Купить Фиточай Щедрость природы в Чусовом
Купить Добутамин в Горнозаводске
Купить Гинипрал в Баксане
Купить Октальмол в Твери
Купить Ново-Пассит в Стародубе
Купить Сонирид Дуо метро Улица Старокачаловская
Купить Мемантин метро Тверская
Купить Тораксол солюшн таблетс в Богдановиче
Цефотаксим Лек Стоимость
Купить Эвиплера в Строителе
Купить Гепабене в Александрове
Купить Смекта в Юрге
Амиодарон При Реанимации






















































/31-1.jpg)



























/14_u.jpg)

