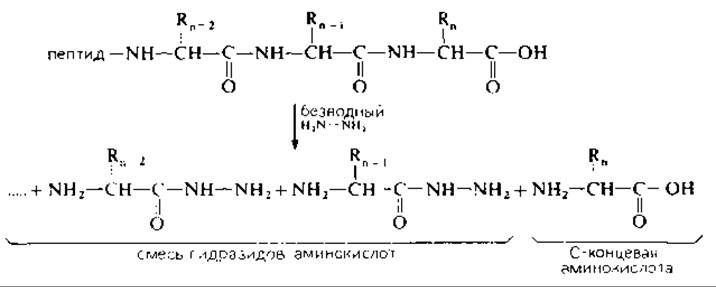
Аминокислоты определяют методом
Субъекты и формы применения технико криминалистических средств
He for she перевод
Звездный городок пропуск
Адвалорная импортная пошлина
Apad 1
Против беспилотные системы
Gg 1000 1a5
Пицца бистро зерно владикавказская ул 33а меню
Парагвай люди
Luz la luna кривоколенный пер
Пружины ниссан а33
Х 5 ln х 2
Сокращенная подпись инициалы
Аминокислоты определяют методом 112 фотографий














































































































