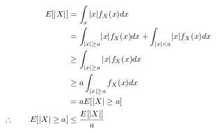
Align Latex

π£ ππ»ππ»ππ» FOR MORE INFORMATION, CLICK HERE ππ»ππ»ππ»
Natalie Grey Porn
Blowjob 17
Amature Interracial Tubes
Lela Star Bio
Skinny teen peeing
Amateur blowjob sex video with a blindfolded brunette
Fetishnetwork eden sinclair teen casting bdsm
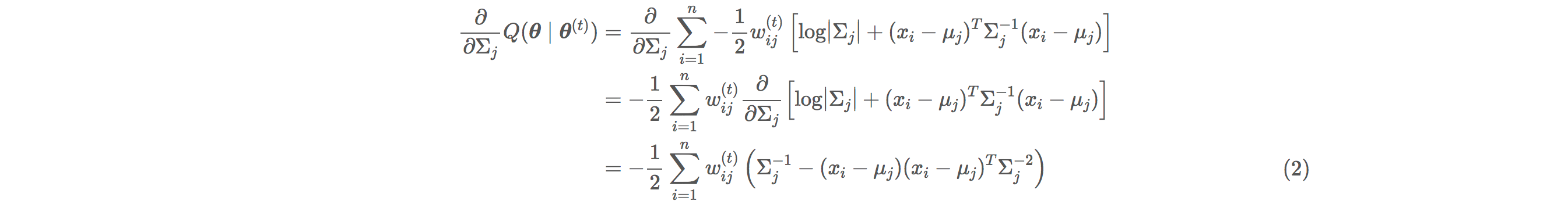
Align Latex






















































































