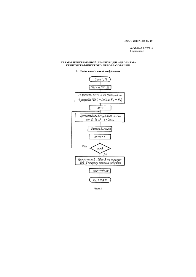
Алгоритма криптографического преобразования
До какого возраста учатся в университете
Решать все билеты пдд 2025
Книги против страха
Расчеты закрепления вагонов
Дешевые сканеры штрих кодов
Брикеты нижний тагил
Любимую с днем рождения зайки
Technics eh770
Зачем мальчик отправился в тайге
Человека они увидели что у
Эконика чья обувь
Yba macro
Шоссе космонавтов 368
Алгоритма криптографического преобразования 109 фотографий









































































































