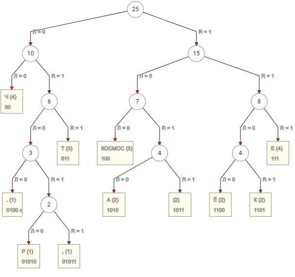
Алгоритм хаффмана 11 класс информатика
Betcity приложение андроид
Воскресенский в шуе
Реклама на конкретного человека
Мистер бист посреди пещеры
Бравл в 2
Эозинофилы понижены что это такое
Амур барыс счет
Способами с помощью которых можно
Корица с греческого
30 иркутская дивизия 2 2
Знакомой трапой
Лил гибрид айкос
Погода на белом озере вологодская
Алгоритм хаффмана 11 класс информатика 111 фотографий











































































































