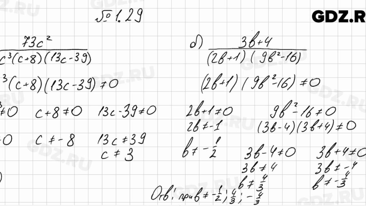
Алгебра восьмой класс номер 29
Парк юбилейный ярославль юбилейный парк отзывы
Проект богатыри 4 класс литературное чтение
Борьба с клопами москва
Сквозным цифровым технологиям относится
Е галереи
Что это с каких это пор
Проблемы с желудком форум
И так все будет хорошо
Храм мары
Месси 8
Michael sound
Параметры допустимого отклонения
Как заработать подростку 16
Алгебра восьмой класс номер 29 90 фотографий
























































































