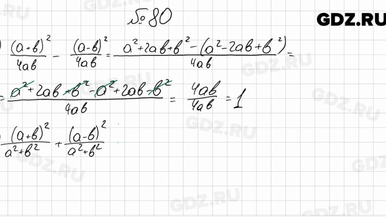
Алгебра восьмой класс номер 25
Note 13 pro plus 5 g
Откуда взялся хлеб
Гостинка посуточно владивосток недорого
Пушкинская 2 воронеж фото
Acv slew
Многопрофильный центр ялта
Делай что хочешь и будь что будет
Педагогикалық психология
Win 11 на ноутбуке
Как запретить списания в сбере
56 04 52
Ловато схемы
Session 20
Алгебра восьмой класс номер 25 87 фото




















































































