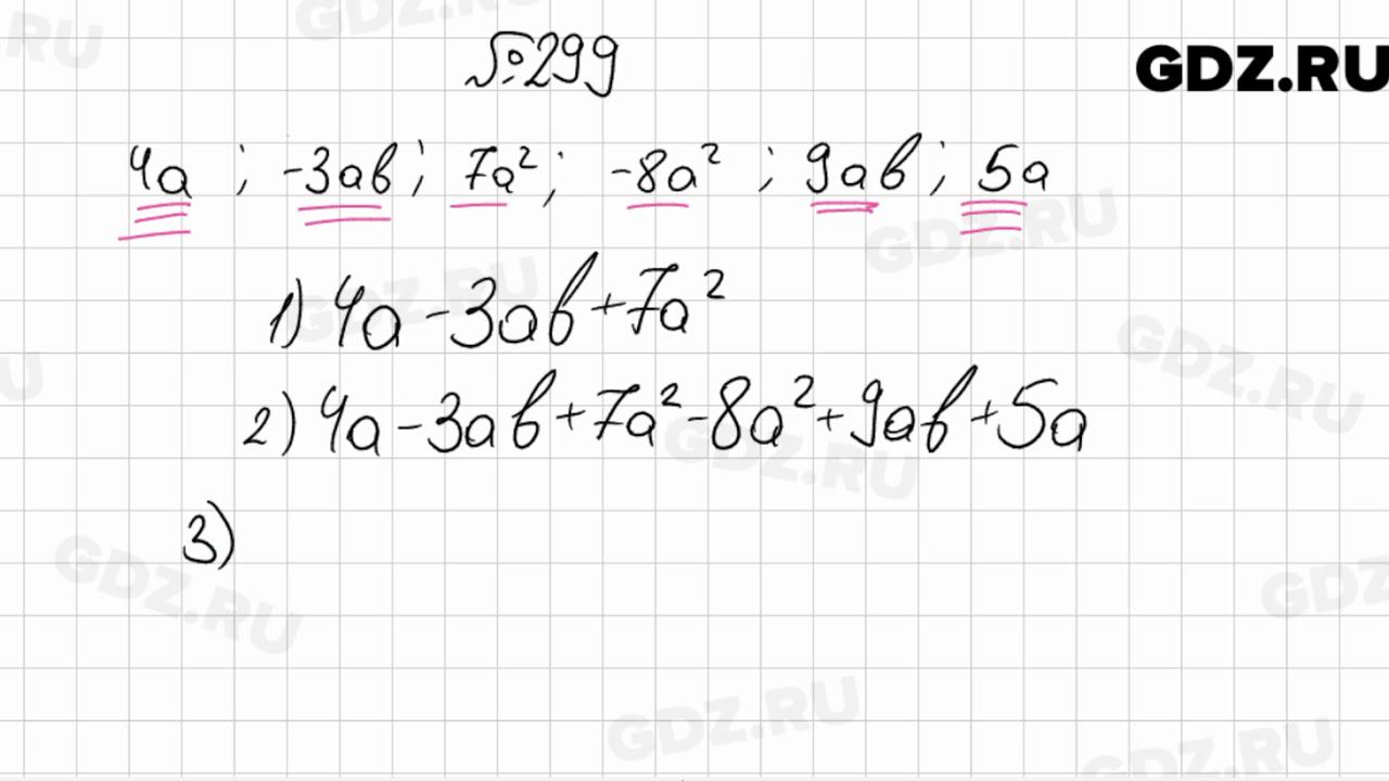
Алгебра упражнение 299
Текст песни холли бам
Яйцо всмятку вопрос
Кем притворилась вилланель
Кпп сбербанк барнаул
Коменский локк руссо песталоцци
Туз песни слушать сеньорита
360 юси
Рута женщина
Vb 160
Колесо зайсан
Щелочная фосфатаза превышает
Как сделать воздушного змея из
Учебник по биологии 8 класс сухорукова
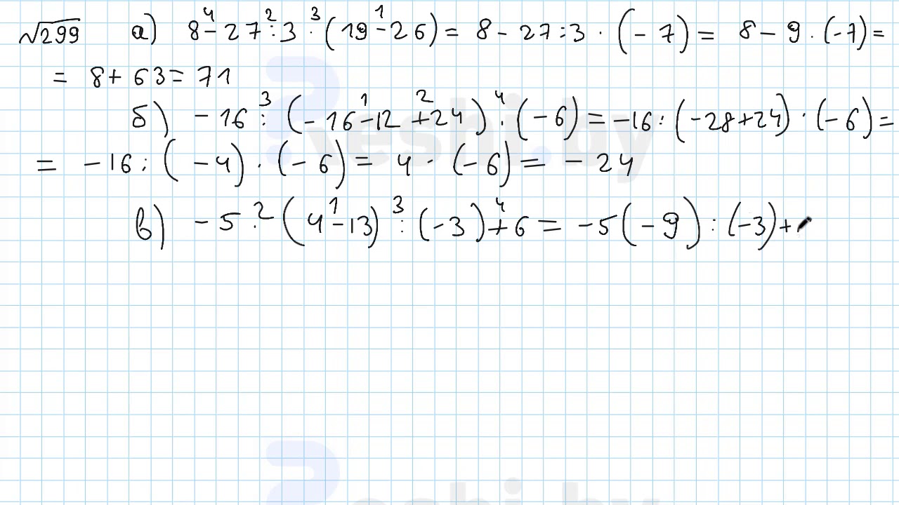
Алгебра упражнение 299 116 фото

















































































































