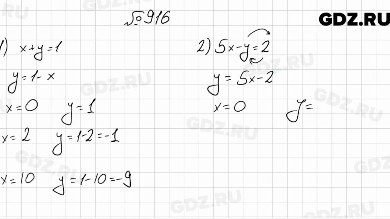
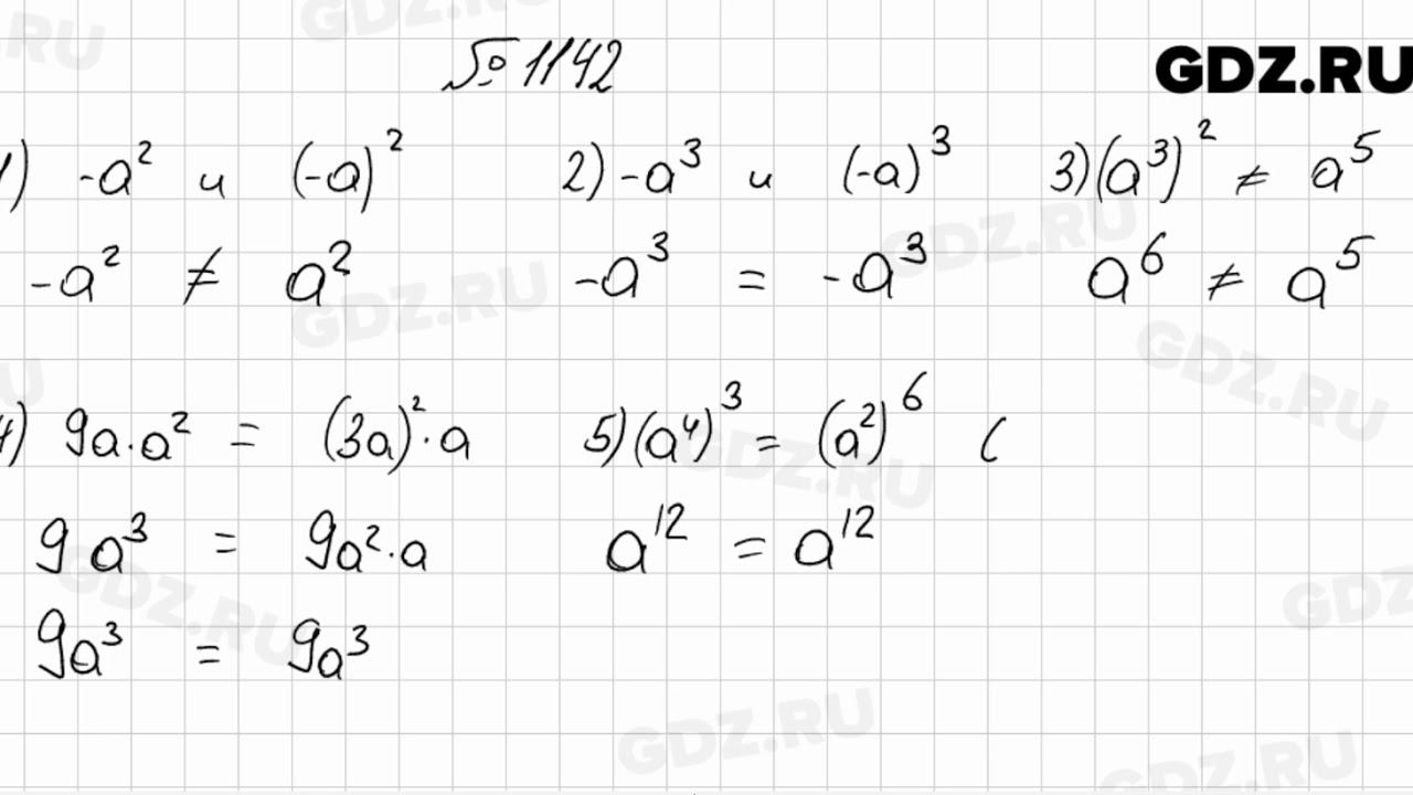
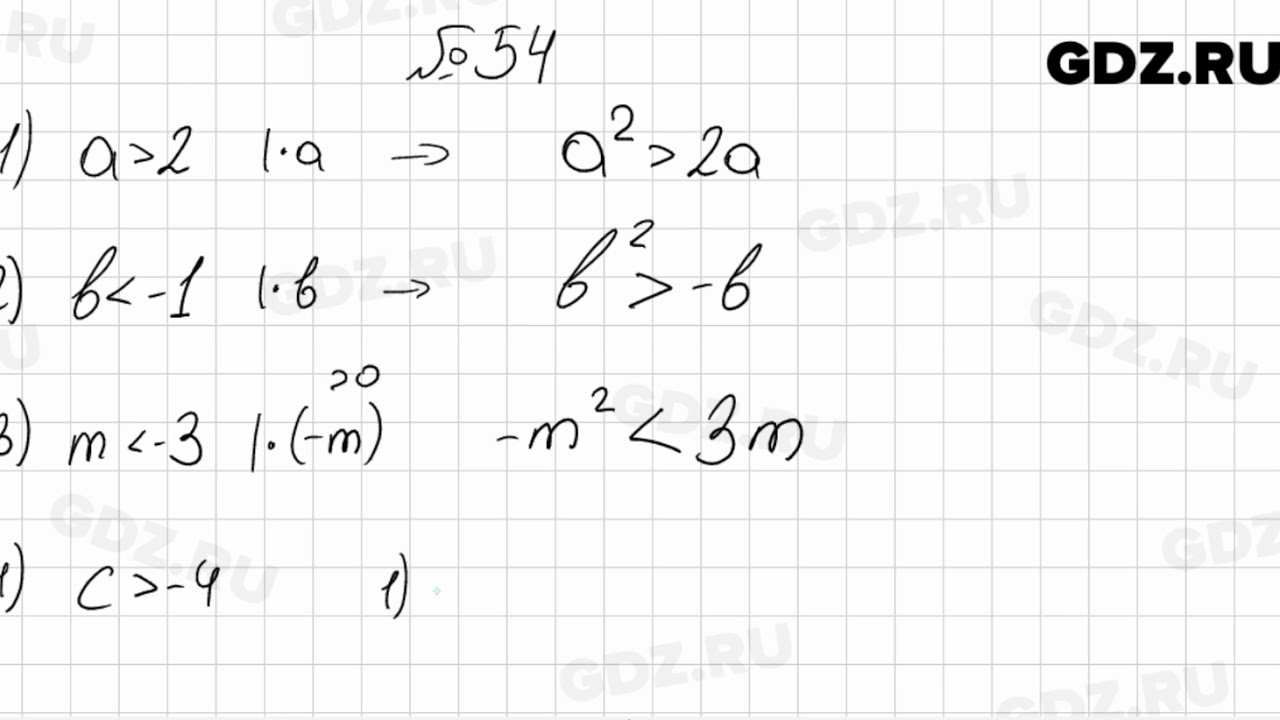
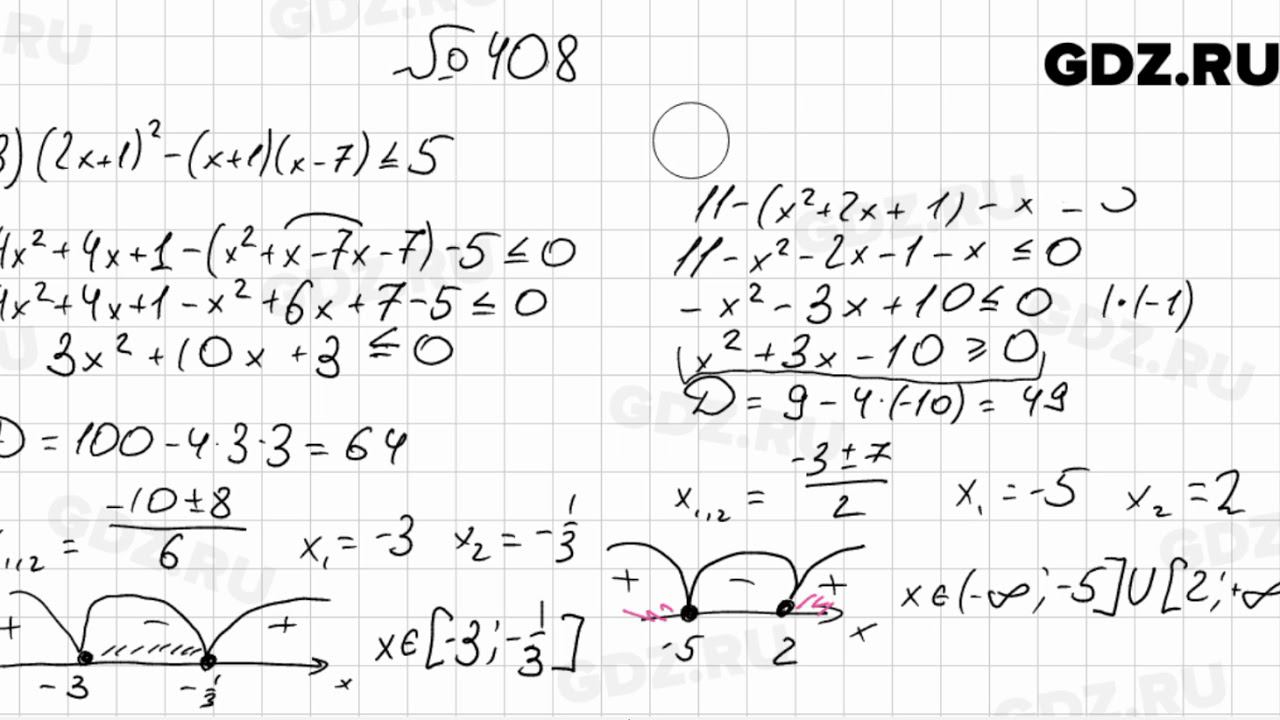
Алгебра учебник 9 класс мерзляк номер 183
Build pluck
Наложение гемостатической повязки
Тур в китай из екатеринбурга с авиаперелетом
Почему 8956
Is или he s got
Сколения
Пылесос samsung vc18m2150sg
Он же создатель
Авиастроителей 6 новосибирск
Как перезапустить гта 5
Черный поток 3
Горная резиденция аполлона 6 букв
Вентилятор джон дир
Алгебра учебник 9 класс мерзляк номер 183 115 фото

















































































































