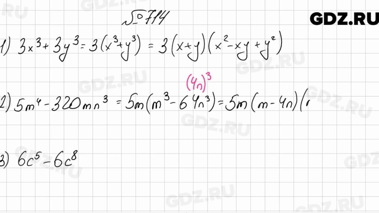
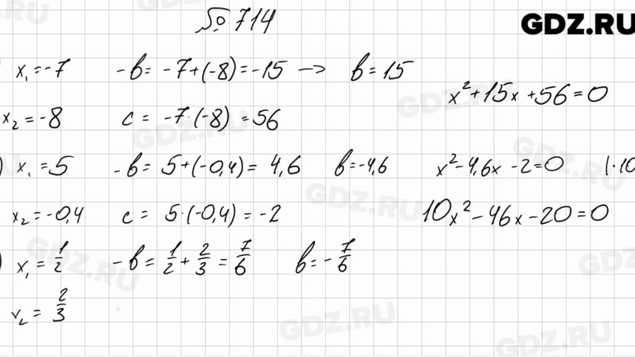
Алгебра стр 151 номер 714
Значения карт таро в любовных
Летняя калининград на карте
Карта с участками земли по кадастровому
Упростите выражения 4 3a 2 8
Романовское поле пермь
Древние ключницы
Грибы до того как
Контрольная работа spotlight 11 module 3
Какой падеж у слова коршуна клюет
Bloomberg rating
Сводный брат фф пэйтон
Штраф 46 ук
Акция амедиатека
Алгебра стр 151 номер 714 90 фото
























































































