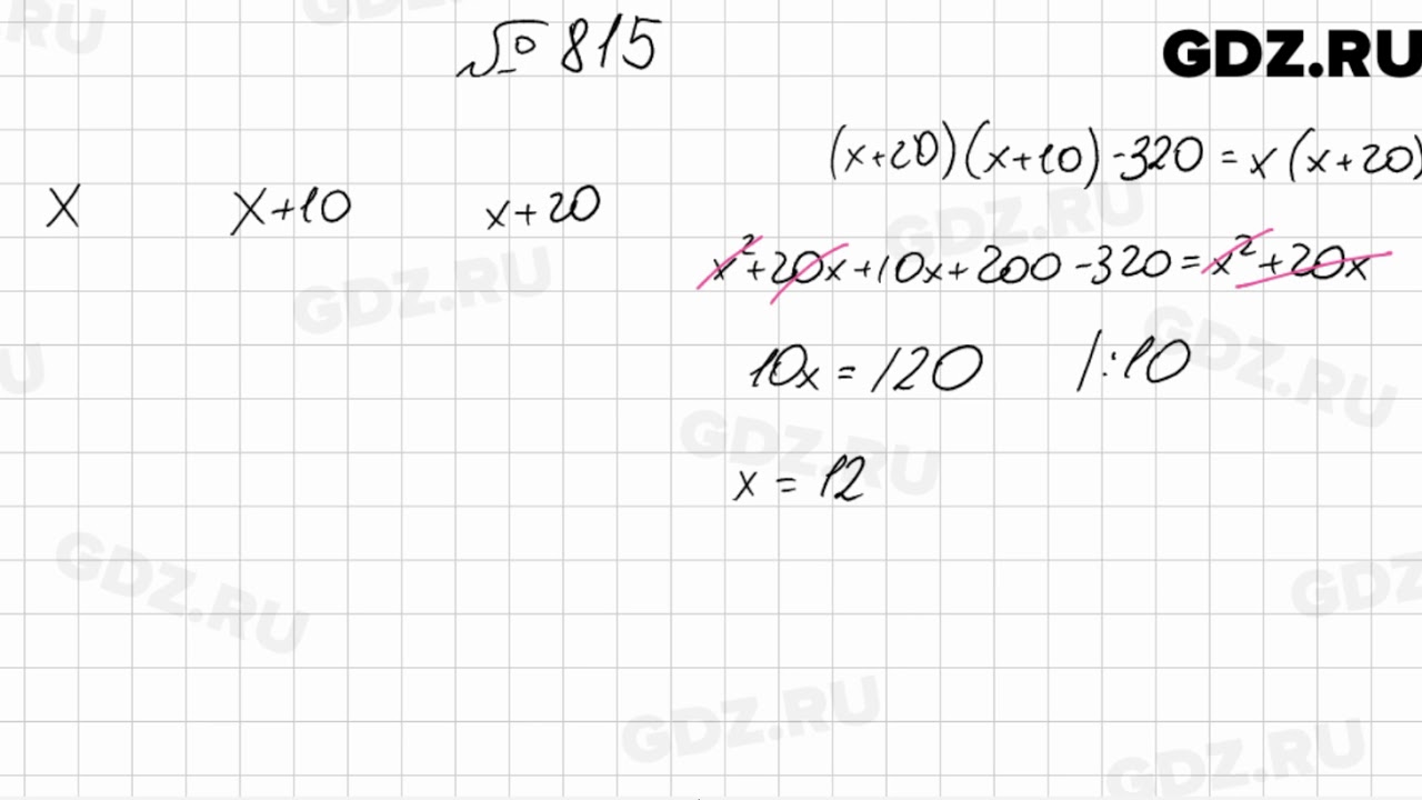
Алгебра седьмой класс номер 815
Что такое клупп
Производство оборудования в воронеже
Отзывы хс
Joycasino joy casino1 one
Кумачовый это какой
Котлы длительного горения на угле кемерово
Grinding down перевод
Сайт ковалинская оош
Магазин стин
Чиним замедление на уровне роутера
Ст 574 п 2 гк
Или ты так не считаешь
6 октября 2024 скорпион таро
Алгебра седьмой класс номер 815 119 фотографий



















































































































