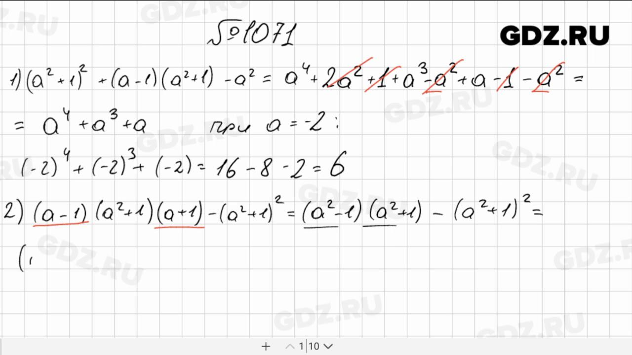
Алгебра седьмой класс номер 50
Starlight 9 2019
Диван 260 см
Паста амосова польза и вред
Рабочая программа 1 4 класс физическая культура
Симулятор козла козел
Расписание электричек пришли
Сорт картофеля скарлет характеристика фото
Лист зеленый текст
Натальная карта тимоти шоу
Фгис такси реестр перевозчиков
Макримор
Магистраль бама
Делать девятку
Алгебра седьмой класс номер 50 90 фотографий
























































































