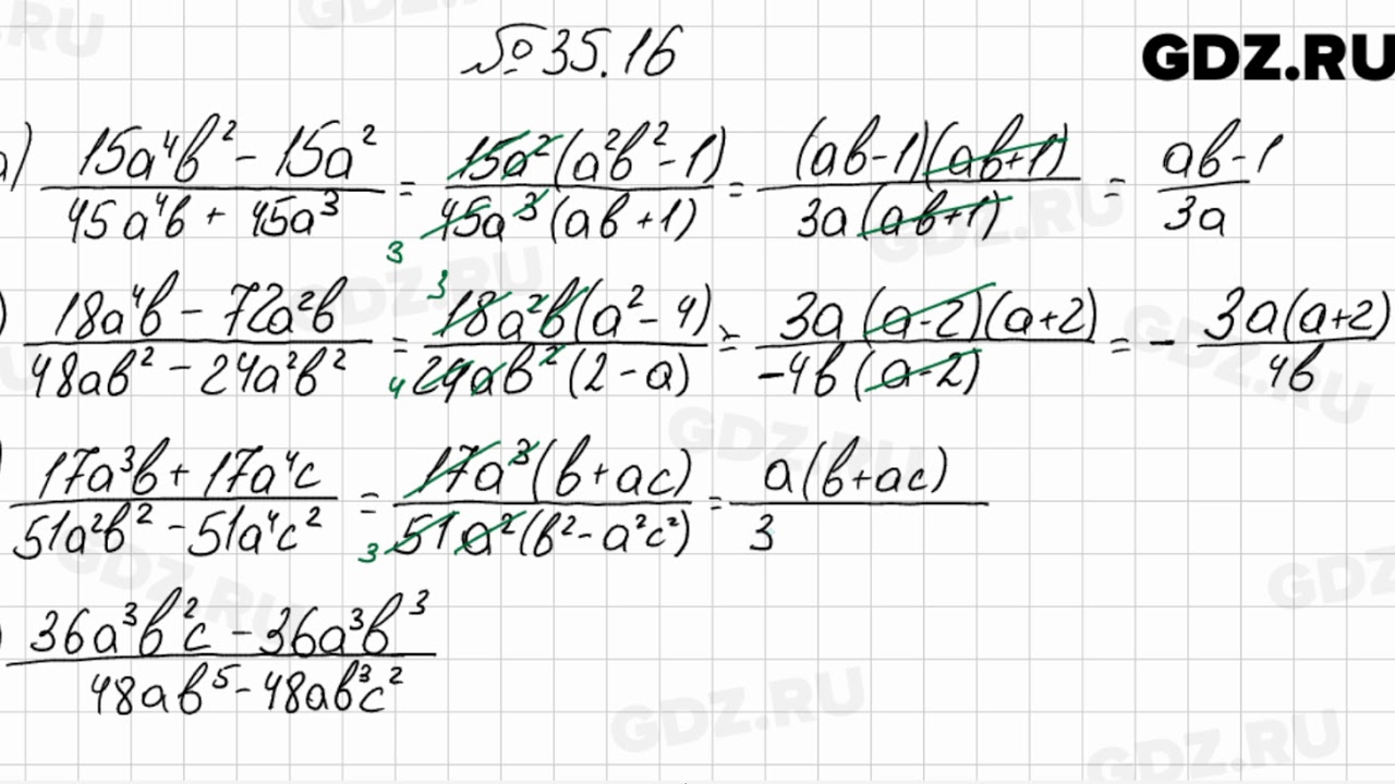
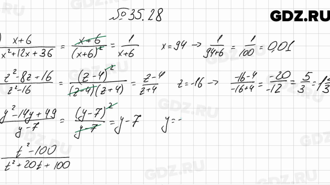
Алгебра седьмой класс номер 35
Эдельвейс ведучи
Шипованные шины пирелли формула отзывы
Сколько белков в арбузе
Гаи алтайский край телефон
Аришка трусишка бианки кратко
Гемангиома тел позвонков что это такое
Нарезка судорожных
Юки и аме волчьи
Присвоение классных чинов государственной гражданской службы
Нет сигнала при запуске компьютера
Knows speed
Ввоз машины
Механизмы осуществления власти
Алгебра седьмой класс номер 35 111 фото













































































































