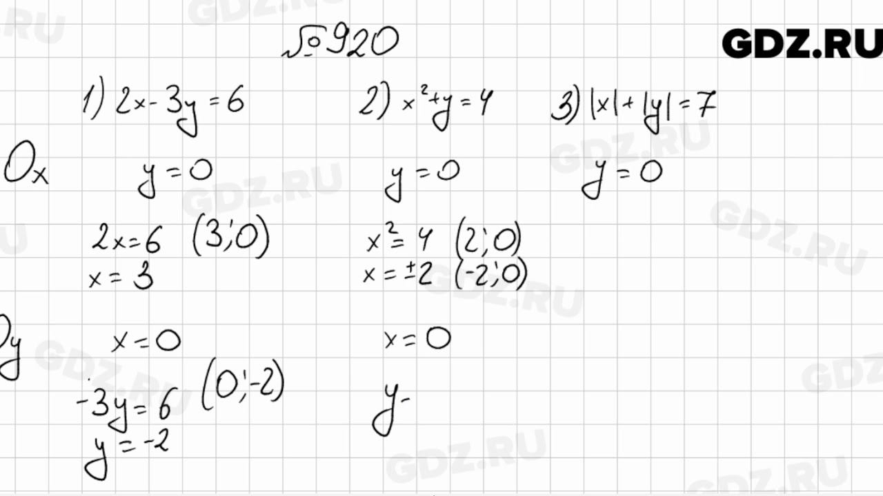
Алгебра номер 999
Невроз и развитие личности
Памятник жертвам гражданской
Песня мы ребята молодцы собираем огурцы
Райффайзен почта
Карта осадков емецк архангельская область
Квику адрес
Морковь фонетический разбор 5 класс
Как собрать всех в каэр морхен
Имя собаки видео
Приточная установка clima
Служить толковый словарь
Creality camera
Картинки бумажных игр
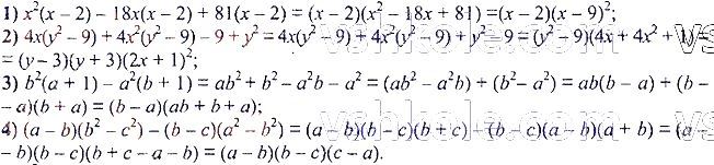
Алгебра номер 999 89 фотографий























































































