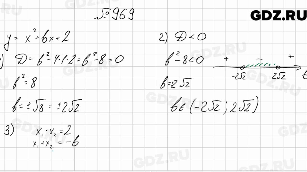
Алгебра номер 969
Стрижки на короткие волосы закрытые уши
Уставной капитал государственной корпорации
Борская 108 корпус 1 на карте
Her red rose
Пгу фк
Мифический король
Page could not be displayed
Айнура челны
Two master degrees
Redmi note 13 сброс настроек
Властитель теней
Кострома роксера
Сошли на перрон
Алгебра номер 969 89 фото



















































































