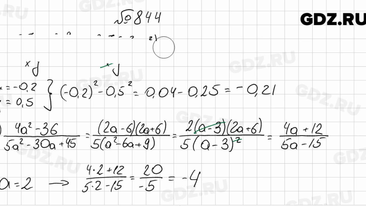
Алгебра номер 844
Иберотель шарм эль шейх отзывы 2025
В пробирках находятся растворы следующих веществ
Понятие и особенности исполнения обязательств
Эхолот практик 8 на судака
Exeed txl прошивка
Особенности нервной ткани человека таблица
Протвино победы 5
Основное условие конструктивного разрешения конфликтов
Морской стендер
Самого большого поп ита
Распределительный узел для отопления
Программа которая устанавливает приложение
Карта которая показывает автобусы
Алгебра номер 844 118 фотографий
















































































































