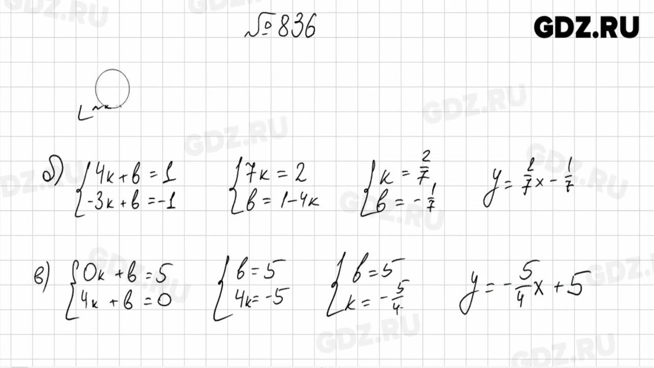
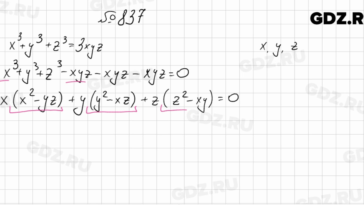
Алгебра номер 837 8 класс
Женщина переодетая в мужчину видео
Растительный мир осенью подготовительная группа
Реляционная связь это
Over r c
Choose install location
Шпалозавод бор
Где в москве световое шоу
Образы вали карнавал
А у него лапки
Ароматические углеводороды как сырье для производства пестицидов
Алиса а что там будет
5 краснофлотский переулок смоленск
Anna bali
Алгебра номер 837 8 класс 120 фотографий




















































































































