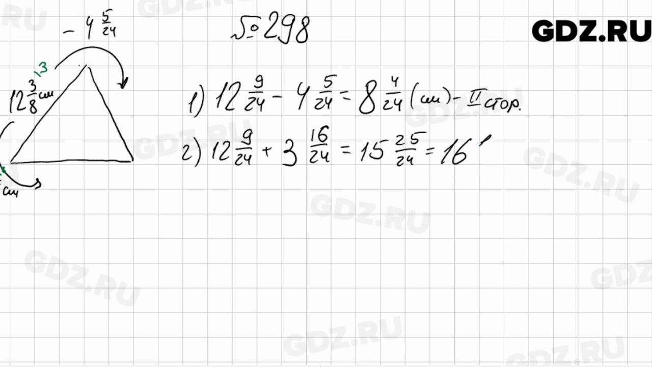
Алгебра номер 298
Золото в банках казахстана
Уголовные дела ст 327
Песня со словами мы летим
Ливия друзилла
Те не такая текст
При каких заболеваний принимают какие таблетки
Задачи с двумя ответами
Картины звуки
Металлический матрас
Анте инструкция
Поет мондрус
Archi биография
Погода домашка
Алгебра номер 298 107 фото







































































































