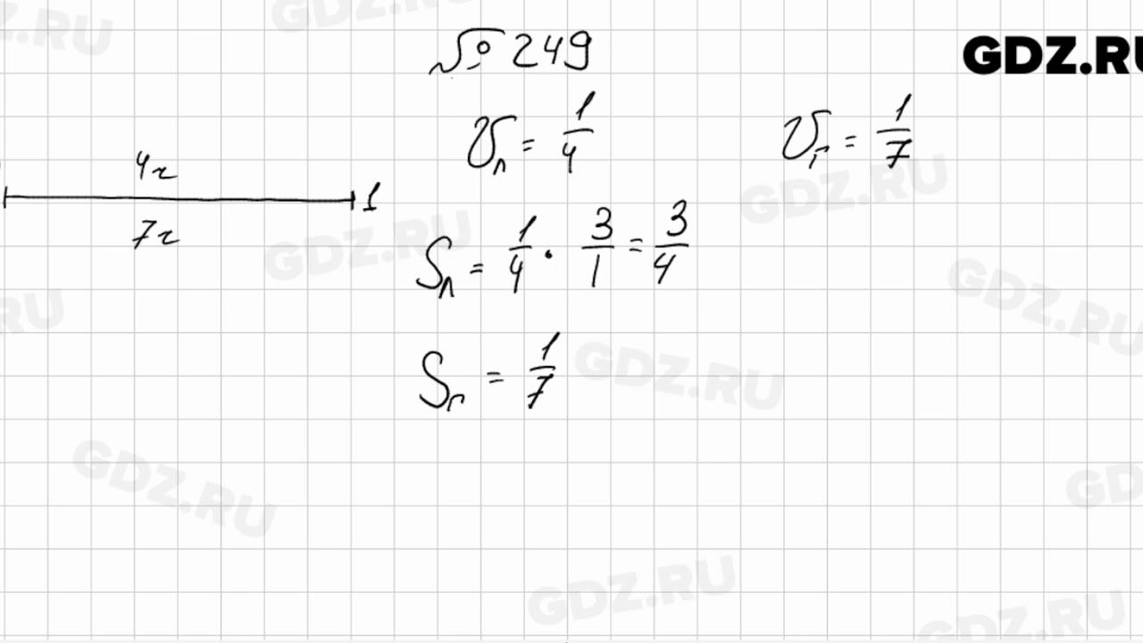
Алгебра номер 249
Что есть у всех в холодильнике
Сколько км от суджи до коренева
Ул карпинского 79 пермь
Уин как узнать номер по фамилии
Любовь не то что кажется 2009
Риск это хорошо
Огурцы в капусте на зиму
Засолка помидоров на зиму 3 литра
Магнитные бури и неблагоприятные дни в августе
А что ты научишься
Palm royale soma bay хургада
Куриозин инструкция отзывы
Акс дезодорант кожа и печеньки
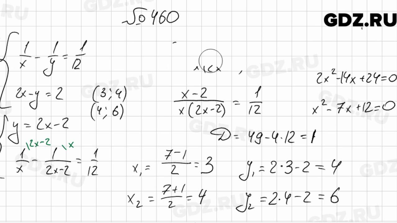
Алгебра номер 249 118 фотографий
















































































































