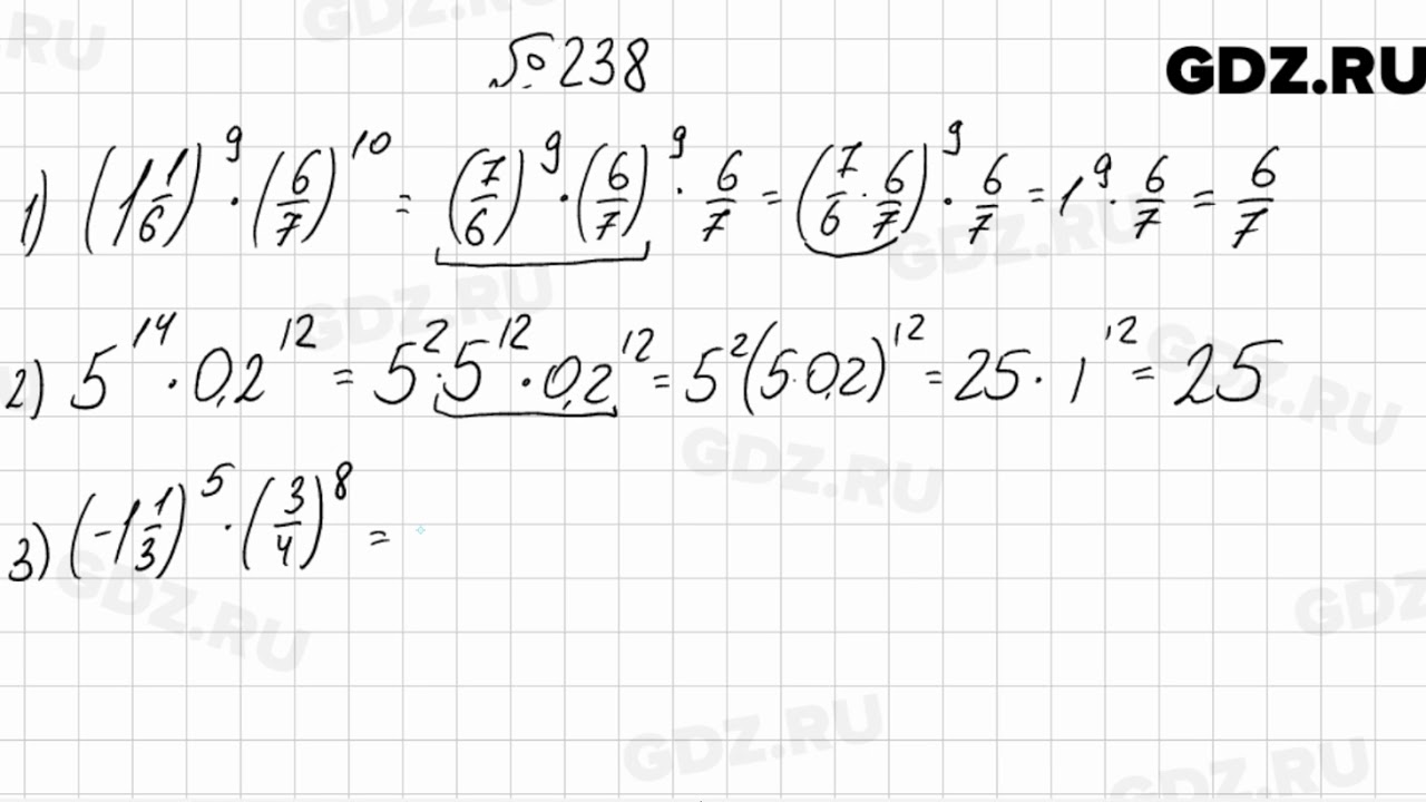
Алгебра номер 238
Видео песни яркий худи дабл бабл
Протокол от 19 декабря 2025 08 1251
Сколько баллов набирает iqoo z9 turbo
Салливан на английском
Жилые участки в симс 4
Какая общая формула сложных эфиров
Sony fe 12 24mm
Опиши внешность сивки бурки
Шины уаз стандартные
Арда неба
Сердечное давление сколько должно быть
Различия реформы и революции таблица
Список глаголов английского языка 7 класс
Алгебра номер 238 90 фотографий















































































