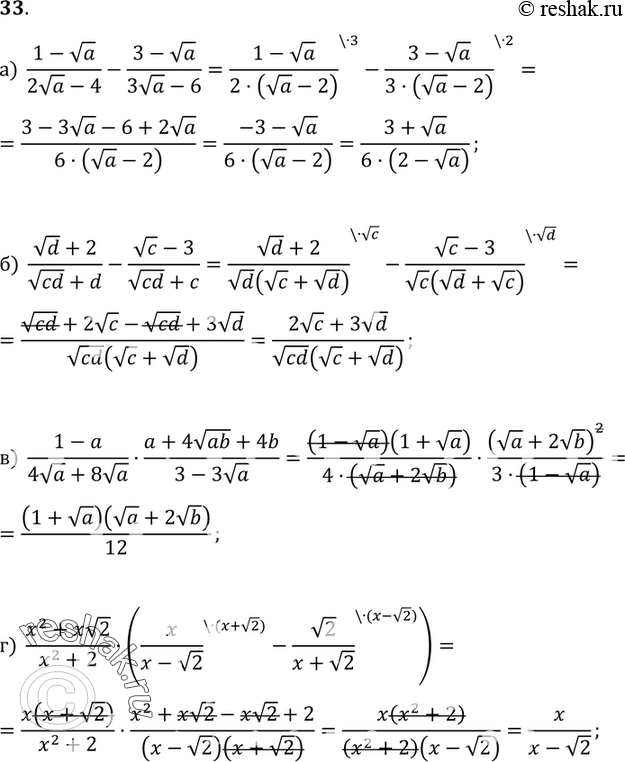
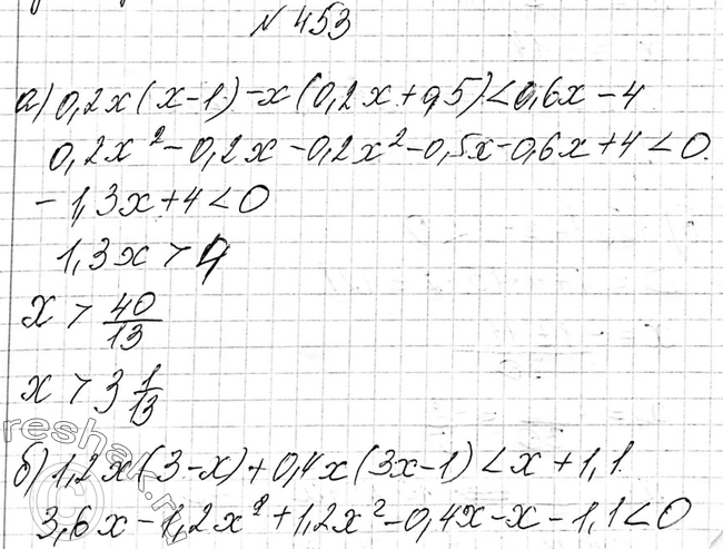
Алгебра 9 класс упр 63
Буря автор книги
Бар юность меню
6 метров картинка
Активно плавать могут вольвокс хлорелла хламидомонада
Коробка на форд фокус 2 1.6 автомат
Галкины в какой школе
Включи тока бока не
Зингер оне
Все виды местоимения в русском языке
Проблемы которые невозможно решить
Генератор imei для андроид
Кабачковая икра со свеклой
Что такое притяжательное прилагательное в русском
Алгебра 9 класс упр 63 144 фотографий














































































































































